Abstract
Living kidney donation achieves excellent recipient outcomes, but increasingly involves older and medically complex donors, while long-term data across age groups remain limited. The Heidelberg Kidney Donor Study followed 632 donors (1991–2020), stratified by age <40 (n = 93), 40–60 (n = 424), and >60 years (n = 115). Primary outcomes were a ≥50% eGFR decline and an eGFR <45 mL/min/1.73 m2 at long-term follow-up. Early post-donation adaptation, long-term eGFR trajectories, cardiovascular events, and risk patterns were evaluated. Mean donor age was 50.6 ± 10.6 years (62.5% female). eGFR declined by 26.0% after donation and remained stable thereafter. At a median follow-up of 12 years, ≥50% eGFR decline occurred in 4.8%, 5.3%, and 14.4% of donors aged <40, 40–60, and >60 years, respectively, an eGFR <45 mL/min/1.73 m2 in 1.2%, 5.3%, and 20.4%. An eGFR <30 mL/min/1.73 m2 occurred in 1.2%, major adverse cardiovascular events in 4.3%. Age, hypertension, and baseline-eGFR independently predicted renal impairment. Younger donors with hypertension or obesity had up to a 14.3% risk of ≥50% eGFR decline, exceeding the risk in healthy older donors (12.5%). Living kidney donation was associated with stable long-term kidney function after early adaptation, with substantial heterogeneity driven more by baseline renal reserve and comorbidity than chronological age alone.
Graphical Abstract
Introduction
Living kidney donation (LKD) is the optimal treatment for renal failure, increasing organ availability, shortening waiting times and enabling preemptive transplantation with superior graft and patient survival [1–3]. Most international and national cohort studies have demonstrated no significant long-term harm to donors [4–9]. However, two more recent studies identified a modestly higher risk of endstage renal disease (ESRD) in living kidney donors compared with the general population [10, 11], providing limited data on outcomes for older donors and those with cardiometabolic comorbidities.
Due to organ shortages and long waiting times, transplant centers increasingly accept medically complex living kidney donors – older individuals or those with hypertension and obesity [12], consistent with recent registry observations [13]. This shift may increase donors’ risk for renal and cardiovascular events and affect transplant ouctomes [12, 14]. Such donors now account for 25%–50% of LKD program [15]. Acceptance criteria vary widely between transplant centers [16].
Despite the importance of this issue, high-quality studies with long-term outcomes are scarce [9, 14, 17, 18]. Most available data derive from retrospective registry-based analyses focusing on hard endpoints, with limited insight into longitudinal kidney function trajectories or clinically relevant heterogeneity among donors.
The aim of the present study was to characterize long-term renal and cardiovascular outcomes after living kidney donation across donor age groups using detailed longitudinal follow-up data. A central objective was to disentangle whether advanced donor age predominantly affects the level of kidney function achieved after donation or whether it is associated with an accelerated rate of subsequent kidney function decline over time.
In addition, the study aimed to assess the modifying role of baseline renal reserve and common comorbidities and to describe heterogeneity in long-term renal risk based on routinely collected donor characteristics.
Materials and Methods
Study Design
The Heidelberg Kidney Donor Study (HeiKiD) is a prospective cohort study established to evaluate long-term outcomes after LKD and to enhance shared decision-making and informed consent.
The study was approved by the ethics committee of the University Hospital Heidelberg (S104-2011), and all participants provided written informed consent. Data collected prior to 2011 were obtained retrospectively from medical records. Since 2011, donors have been followed prospectively within a structured cohort study with predefined follow-up intervals.
Data handling complied with the European General Data Protection Regulation.
Eligible donors were aged ≥18 years, had completed the pre-donation evaluation, and had at least 5 years of follow-up after donation. The analysis included 632 caucasian donors who donated between 01/1991 and 06/2020 for recipients across 48 dialysis centers in southern and central Germany. Demographic data were obtained via structured questionnaires. Clinical and laboratory data were collected before donation, 1 year post-donation, and annually thereafter. In accordance with German living donor evaluation standards, all potential donors underwent comprehensive cardiovascular assessment before donation, including echocardiography and exercise ECG; if coronary heart disease was known or non-invasive testing was abnormal, coronary angiography was performed. Donors with clinically significant or uncontrolled cardiovascular disease were generally excluded, and only mild, stable, or previously treated cardiovascular conditions were accepted after interdisciplinary evaluation.
Study Outcomes
Primary outcomes were:
≥50% decline in estimated glomerular filtration rate (eGFR) from baseline to last follow-up
prevalence of eGFR <45 mL/min/1.73 m2 at long-term follow-up.
The threshold corresponds to CKD stage 3b and was selected because this level of kidney function has been consistently associated with a substantially increased risk of cardiovascular events, CKD progression, and mortality in large population-based studies [19, 20].
Secondary endpoints included the incidence of eGFR <30 mL/min/1.73 m2, the need for renal replacement therapy, composite major adverse cardiovascular events (MACE), individual components of MACE (myocardial infarction, stroke, cardiovascular death, peripheral artery disease events (revascularization, amputation)), and death.
Beyond binary renal endpoints, analyses focused on early post-donation change, achieved post-adaptation kidney function, and long-term eGFR trajectories.
Analyses were stratified by donor age (<40 years, 40–60 years, and >60 years) to explore age effects. In addition, the impact of baseline comorbidity on longterm outcome was analyzed. A dedicated subanalysis was performed in donors aged ≥70 years.
Statistical Methods
Continuous variables were expressed as mean ± standard deviation (SD) or median (interquartile range, IQR) and compared using the Student’s t-test or Mann–Whitney U test. Categorical variables were presented as counts and percentages and compared using the chi-square or Fisher’s exact test. Bias was minimized through consecutive enrollment and consistent data collection. Analyses were performed using complete case data without imputation.
Linear mixed-effects models were used to evaluate the association of age at donation with eGFR levels and longitudinal eGFR trajectories.
To separate the expected early post-nephrectomy adaptation from subsequent long-term changes, early eGFR change was quantified from baseline to 12 months after donation. Early change was defined as ΔeGFR0–12 (eGFR1y − eGFRbaseline) and, in sensitivity analyses, as percent change (%ΔeGFR). Determinants of early eGFR change were assessed using multivariable linear regression with prespecified predictors: baseline eGFR (CKD-EPI), age at donation (continuous), preexisting hypertension, BMI, sex, and donation era (grouped into 1991–2000, 2001–2010, 2011–2020). To facilitate comparison of effect sizes across predictors, standardized regression coefficients were calculated for continuous variables.
To assess determinants of achieved kidney function at long-term follow-up, multivariable linear regression models were fitted with eGFR at last follow-up as the dependent variable and adjusted for baseline eGFR, early eGFR change (ΔeGFR0–12), follow-up duration, age at donation, hypertension, BMI, and sex.
Risk Grouping and Regression Analysis
Donors were classified by age and presence of established risk factors for kidney function decline. Associations between baseline variables and outcomes were assessed using univariate logistic regression. Multivariate models included prespecified clinically relevant variables.
Exploratory Risk Stratification Using Baseline Clinical Variables
An exploratory composite score was constructed to illustrate the combined association of key baseline factors with long-term outcomes. Independent predictors from the multivariate analysis were used in an exploratory manner to summarize their joint association with long-term renal outcomes. Regression coefficients (β) were used to assign relative weights to each predictor, reflecting their contribution within this cohort. An individual composite score was calculated as the sum of weighted predictors. For descriptive purposes, risk scores were categorized into tertiles representing low, intermediate, and high-risk groups, and the observed incidence of both outcomes was calculated for each category. Model calibration was assessed exploratorily by comparing predicted and observed outcome frequencies across tertiles and deciles, including calibration plots, calibration slope and intercept, and the Hosmer–Lemeshow test. Discriminative performance was quantified using the area under the receiver operating characteristic curve (AUC).
All analyses were performed in R (Version 2024.12.0).
Results
Cohort Characteristics
A total of 632 living kidney donors with a minimum follow-up of 5 years were included. Of these, 93 were aged <40 years (14.7%), 424 were aged 40–60 years (67.1%), and 115 were aged >60 years (16.6%), Table 1. The mean age at donation was 50.6 ± 10.6 years (range 19–77). Mean donor age increased from 43.9 years in 1990–1994 to 53.4 years in 2015–2020.
TABLE 1
| Parameter | n | Total cohort | <40 years | 40–60 years | >60 years | p-value |
|---|---|---|---|---|---|---|
| n | | 632 | 93 | 424 | 115 | |
| Demographics | ||||||
| Age (mean ± SD) | 632 | 50.6 ± 10.6 | 33.3 ± 5.3 | 50.3 ± 5.6 | 65.5 ± 3.7 | <0.001 |
| Male gender (%) | 632 | 37.5 (237) | 29.0 (27) | 37.0 (157) | 46.1 (53) | 0.0387 |
| BMI (kg/m2) | 615 | 26.2 ± 4.1 | 25.4 ± 4.8 | 26.4 ± 4.0 | 26.3 ± 3.6 | 0.0405 |
| 18-25 kg/m2 | | 41.1 (253) | 49.4 (44) | 40.6 (168) | 36.6 (41) | |
| <18 kg/m2 | | 1.0 (6) | 3.4 (3) | 3.1 (13) | | |
| >25 kg/m2 | | 40.5 (249) | 27.0 (24) | 43.2 (175) | 44.6 (50) | |
| Obesity class I (BMI 30-35 kg/m2) | | 14.1 (87) | 15.7 (14) | 13.3 (55) | 16.1 (18) | |
| Obesity class II (BMI 35-40 kg/m2) | | 2.8 (17) | 3.4 (3) | 3.1 (13) | 0.9 (1) | |
| Obesity class III (BMI >40 kg/m2) | | 0.5 (3) | 1.1 (1) | 0.5 (2) | 1.8 (2) | |
| Nicotine use (active smoker) | 603 | 24.2 (146) | 31.4 (27) | 26.6 (107) | 10.5 (12) | 0.0008 |
| Donated to | 630 | | | | | |
| Related | | 63.7 (392) | 80.0 (72) | 61.7 (259) | 58.4 (66) | 0.0012 |
| First-degree relatives | | 61.1 (385) | 73.1 (68) | 60.0 (253) | 55.7 (64) | 0.0150 |
| Unrelated | | 36.2 (226) | 20.0 (18) | 38.3 (161) | 51.6 (47) | 0.0012 |
| Spouse | | 31.6 (200) | 17.2 (16) | 34.0 (144) | 34.8 (40) | 0.0051 |
| Sibling | | 13. 9 (88) | 29.0 (27) | 12.3 (52) | 7.8 (9) | <0.001 |
| Mother -- child | | 29.3 (185) | 35.5 (33) | 28.5 (121) | 27.0 (31) | 0.3427 |
| Father -- child | | 18.2 (115) | 9.6 (8) | 19.3 (82) | 21.7 (25) | 0.0288 |
| Friend | | 1.9 (12) | 1.1 (1) | 2.6 (11) | 5.2 (6) | 0.4978 |
| Blood pressure parameters | ||||||
| Mean arterial pressure (mmHg) | 618 | 96.8 ± 9.8 | 93,2 ± 9.3 | 96.6 ± 9.4 | 99.9 ± 10.4 | <0.001 |
| Systolic BP (mmHg) | 618 | 128.5 ± 15.1 | 123.2 ± 13.2 | 127.9 ± 14.6 | 134.9 ± 16.2 | <0.001 |
| Diastolic BP (mmHg) | 618 | 80.8 ± 8.5 | 78.3 ± 8.6 | 81.0 ± 8.2 | 82.5 ± 9.2 | 0.0097 |
| 24h systolic BP mean (mmHg) | 467 | 125.6 ± 13.0 | 121.9 ± 13.5 | 125.2 ± 13.1 | 130.4 ± 10.6 | <0.001 |
| 24h diastolic BP mean (mmHg) | 466 | 77.4 ± 8.9 | 74.5 ± 7.2 | 77.7 ± 9.2 | 78.7 ± 8.5 | 0.0054 |
| Medical history | | |||||
| Hypertension | 632 | 44.5 (281) | 24.7 (23) | 43.2 (183) | 65.2 (75) | <0.001 |
| Diabetes mellitus | 632 | 0.0 (0) | 0.0 (0) | 0.0 (0) | 0.0(0) | - |
| Prediabetes | 595 | 5.2 (31) | 3.4 (3) | 4.8 (19) | 8.1 (9) | 0.2691 |
| Hyperlipidemia | 632 | 8.6 (54) | 2.2 (2) | 7.8 (33) | 16.5 (19) | <0.001 |
| Metabolic syndrome | 611 | 7.7 (49) | 10.2 (9) | 7.5 (31) | 6.3 (7) | 0.5624 |
| Thyroid disease | 632 | 17.3 (109) | 5.4 (5) | 18.0 (76) | 24.0 (26) | 0.001 |
| Cardiovascular disease I | 632 | 0.9 (6) | 0.0 (0) | 0.7 (3) | 2.6 (3) | 0.15 |
| Malignant diseases | 632 | 2.2 (14) | 0.0 (0) | 2.4 (10) | 2.6 (3) | 0.400 |
| COPD/Asthma/Chronic bronchitis | 632 | 3.8 (24) | 2.2 (2) | 4.3 (18) | 3.6 (4) | 0.6256 |
| Urological diseases | 632 | 4.6 (29) | 1.1 (1) | 4.5 (19) | 7.8 (9) | 0.062 |
| Gynecological diseases | 632 | 6.3 (40) | 5.4 (4) | 7.8 (33) | 1.7 (2) | 0.057 |
| Psychiatric disorders | 632 | 2.5 (16) | 0.0 (0) | 2.8 (12) | 3.5 (4) | 0.4181 |
| Family medical history | ||||||
| Kidney disease | 388 | 24.5 (95) | 32.5 (13) | 21.1 (58) | 32.9 (24) | 0.0528 |
| Medication use | ||||||
| Antihypertensive medication | 632 | 24.4 (154) | 3.2 (3) | 23.1 (98) | 46.1 (53) | <0.001 |
| Number of antihypertensives | 632 | 0.36 ± 0.74 | 0.04 ± 0.25 | 0.33 ± 0.67 | 0.76 ± 1.03 | <0.001 |
| Lipid-lowering drugs | 632 | 5.1 (32) | 0.0 (0) | 4.0 (17) | 13.0 (15) | <0.001 |
| Thyroid medication | 632 | 12.5 (79) | 1.1 (1) | 13.4 (57) | 18.3 (21) | 0.0006 |
| Pain medication (non-NSAIDs) | 632 | 0.2 (1) | 0.0 (0) | 0.2 (1) | 0.0 (0) | 0.7822 |
| Antidepressants | 632 | 2.1 (13) | 0.0 (0) | 2.4 (10) | 2.6 (3) | 0.3138 |
| Kidney data | ||||||
| Kidney length right (mm) (mean ± SD) | 575 | 112.0 ± 9.2 | 112.5 ± 13.6 | 112.4 ± 8.2 | 110.5 ± 8.5 | 0.041 |
| Kidney length left (mm) (Mean ± SD) | 574 | 112.6 ± 9.6 | 112.2 ± 14.3 | 113.1 ± 8.7 | 111.3 ± 8.2 | 0.0049 |
| MAG3-clearance (mL/min/1.73m2) | 513 | 232.2 ± 44.4 | 254.9 ± 43.0 | 232.9 ± 44.2 | 212.6 ± 37.1 | <0.001 |
| Renal function right side (%, mean ± DS) | 559 | 0.50 ± 0.04 | 0.50 ± 0.04 | 0.50 ± 0.04 | 0.50 ± 0.04 | 0.5434 |
| Renal function left side (%, mean ± SD) | 559 | 0.50 ± 0.04 | 0.50 ± 0.04 | 0.50 ± 0.04 | 0.50 ± 0.04 | 0.5282 |
| Renal function donated kidney (%, mean ± SD) | 559 | 0.49 ± 0.04 | 0.48 ± 0.04 | 0.49 ± 0.04 | 0.49 ± 0.04 | 0.8883 |
| Hematuria | 628 | 9.6 (60) | 4.3 (4) | 11.2 (47) | 7.9 (9) | 0.1005 |
| Proteinuriaa (g/L) (Median IQR) | 613 | 0.037 (0.018–0.065) | 0.034 (0.013–0.067) | 0.037 (0.0195–0.0645) | 0.043 (0.020–0.062) | 0.626 |
| Proteinuriaa >0.15 (g/L) | 613 | 2.9 (18) | 5.6 (5) | 2.9 (12) | 0.91 (1) | 0.1408 |
| Pre-donation biopsy | 631 | 2.2 (14) | 0.0 (0) | 2.1 (9) | 4.3 (5) | 0.1039 |
| Donated kidney left side | 598 | 53.0 (318) | 46.0 (55) | 53.0 (216) | 50.0 (56) | 0.8000 |
| Median follow-up years (Md, IQR) | 632 | 12.3 (8.8–16.2) | 13.9 (10.0–18.6) | 12.1 (8.6–16.2) | 11.8 (8.6–14.9) | 0.0046 |
Baseline Characteristics of the Living Kidney Donor Cohort and Median Follow-Up, stratified by Age.
Continuous variables are presented as mean ± standard deviation (SD), and group comparisons were performed using the non-parametric Kruskal-Wallis test. Categorical variables are shown as percentages with the absolute number in parentheses, and were compared using the Chi-square test or Fisher’s exact test, as appropriate. A p-value less than 0.05 was considered statistically significant.
Abbreviations: BMI -Body Mass Index; Obesity class I: BMI, 30–34.9 kg/m2; Obesity class II: BMI, 35–39.9 kg/m2; Obesity class III: BMI ≥40 kg/m2. BP: blood pressure; SPB: COPD: chronic obstructive pulmonary disease; MAG3: Mercaptoacetyltriglycine (renal scintigraphy agent); NSAIDs: Non-Steroidal Anti-Inflammatory Drugs; n–number; SD: standard deviation.
Bold values indicate statistical significance.
Measured in spot urine samples.
Overall, 62.5% were female, ranging from 53.9% among donors >60 years of age to 71.0% in the youngest group. Nearly two-thirds were related to their recipients (392/632; 62.0%), most frequently parent-to-child, especially mother-to-son (16.9%), Table 1.
The median follow-up time after donation was 12 years (IQR 9–16).
Cardiometabolic History and Baseline Renal Findings
Cardiometabolic profiles showed clear age-related trends. Mean BMI was comparable across all groups, but overweight and obesity were more common in older donors. Smoking was more prevalent in younger individuals, while hypertension and the use of antihypertensives increased with age. Accordingly, office and 24-h blood pressure measurements were higher in older donors. Dyslipidemia and thyroid disorders also increased with age (Table 1).
Hematuria was observed in 9.6% of donors and occurred more frequently in female than male donors (12.8% vs. 4.2%). In cases of unexplained hematuria, a pre-donation kidney biopsy was performed in 14 donors. Histopathological findings were generally mild and major glomerulopathies were excluded. Thin basement membrane alterations were reported in 3 donors.
History of Malignancy and Psychiatric Disorders
A history of malignancy was documented in 14 donors (2.2%), including breast cancer (n = 2), cervical cancer (n = 3), colon cancer (n = 1), papillary thyroid carcinoma (n = 1), renal cell carcinoma (n = 1), seminoma (n = 1), appendiceal carcinoid tumor (n = 1), pleural tumor (n = 1), and basal cell carcinoma (n = 3). Psychiatric disorders were reported in 16 donors (2.5%), predominantly depressive disorders (n = 12), followed by bipolar disorder (n = 2), panic attacks (n = 1), and adjustment disorder/burnout (n = 1). The prevalence of these comorbidities at baseline and at long-term follow-up is shown in Figure 1, both overall and stratified by age group (<40, 40–60, >60 years).
FIGURE 1
Descriptive Course of Kidney Function
Baseline-eGFR decreased progressively with age and fell by 0.58 mL/min/1.73 m2 per year of age (β = −0.58; 95% CI −0.67 to −0.48; p = 3.26 × 10−2), which corresponds to −5.76 mL/min/1.73 m2 per decade.
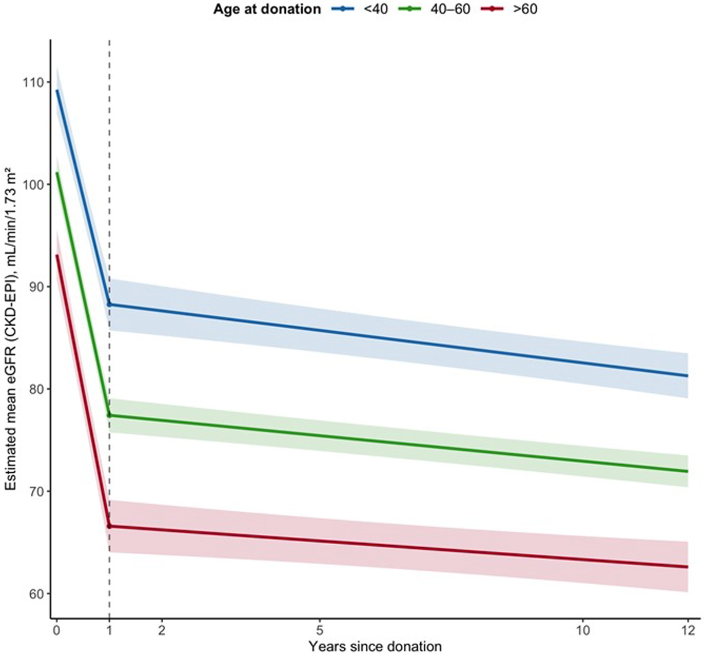
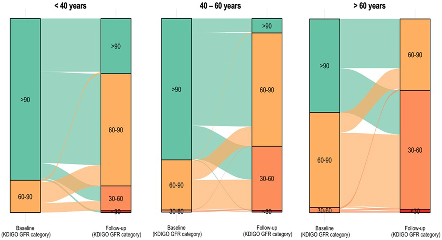
During the study, CKDepi eGFR decreased from 95.8 ± 14.3 to 66.5 ± 16.6 mL/min/1.73 m2 (Δ-30.6%, p < 0.001, Table 2). This decline was observed in all age groups but was most pronounced in donors >60 years (−35.1%, p < 0.001). Transitions between eGFR categories are shown in Figure 2. Within the first year after donation, eGFR decreased by an average of 26.0% (Δ–22.4% < 40 years; 24.9% 40–60 years; −31.8% > 60 years) and remained stable with minimal long-term change (+0.4%, −1.2%, +3.2%, respectively), Figure 3.
TABLE 2
| Laboratory Values | Group | Baseline (mean ± SD) | Last follow-up (mean ± SD) | p-value (longitudinal) | p-value (age groups) |
|---|---|---|---|---|---|
| CKDepi GFR (mL/min/1.73m2) | Total | 95.8 ± 14.3 | 66.5 ± 16.6 | <0.001 | <0.001 |
| <40 | 104.9 ± 19.3 | 77.9 ± 19.5 | <0.001 | | |
| 40–60 | 96.3 ± 12.6 | 66.7 ± 15.0 | <0.001 | | |
| >60 | 86.7 ± 11.0 | 56.3 ± 13.3 | <0.001 | | |
| MDRD GFR (mL/min/1.73m2) | Total | 100.6 ± 20.7 | 62.3 ± 15.2 | <0.001 | <0.001 |
| <40 | 107.0 ± 27.0 | 69.8 ± 15.5 | <0.001 | | |
| 40–60 | 100.5 ± 19.2 | 61.9 ± 14.4 | <0.001 | | |
| >60 | 95.8 ± 18.6 | 57.4 ± 15.5 | <0.001 | | |
| Creatinine (mg/dL) | Total | 0.78 ± 0.16 | 1.07 ± 0.32 | <0.001 | 0.001 |
| <40 | 0.79 ± 0.19 | 0.99 ± 0.22 | <0.001 | | |
| 40–60 | 0.78 ± 0.15 | 1.06 ± 0.33 | <0.001 | | |
| >60 | 0.79 ± 0.16 | 1.14 ± 0.30 | <0.001 | | |
| Cholesterol (mg/dL) | Total | 203 ± 41 | 208 ± 38 | 0.287 | |
| <40 | 202 ± 42 | 191 ± 39 | 0.0584 | | |
| 40–60 | 206 ± 40 | 210 ± 36 | 0.746 | | |
| >60 | 196 ± 44 | 210 ± 40 | 0.00168 | | |
| LDL cholesterol (mg/dL) | Total | 126 ± 32 | 120 ± 35 | 0.0084 | 0.616 |
| <40 | 118 ± 37 | 123 ± 34 | 0.0614 | | |
| 40–60 | 127 ± 31 | 120 ± 35 | 0.0668 | | |
| >60 | 126 ± 32 | 115 ± 36 | 0.0005 | | |
| HDL cholesterol (mg/dL) | Total | 59 ± 16 | 59 ± 17 | 0.1502 | 0.093 |
| <40 | 55 ± 17 | 57 ± 17 | 0.7374 | | |
| 40–60 | 60 ± 17 | 59 ± 18 | 0.0459 | | |
| >60 | 59 ± 15 | 61 ± 16 | 0.5115 | | |
| Triglycerides (mg/dL) | Total | 114 ± 73 | 139 ± 123 | <0.001 | 0.370 |
| <40 | 101 ± 73 | 129 ± 81 | 0.0066 | | |
| 40–60 | 117 ± 76 | 144 ± 134 | <0.001 | | |
| >60 | 110 ± 58 | 130 ± 104 | 0.0826 | | |
| TSH (mU/L) | Total | 1.48 ± 1.44 | 1.82 ± 1.20 | <0.001 | 0.891 |
| <40 | 1.84 ± 1.18 | 2.06 ± 1.59 | 0.0982 | | |
| 40–60 | 1.45 ± 1.58 | 1.73 ± 0.97 | <0.001 | | |
| >60 | 1.33 ± 0.97 | 2.00 ± 1.57 | 0.0016 | | |
| Hemoglobin (g/dL) | Total | 14.07 ± 1.29 | 14.02 ± 1.51 | 0.7636 | 0.139 |
| <40 | 13.86 ± 1.41 | 13.97 ± 1.74 | 0.2376 | | |
| 40–60 | 14.08 ± 1.30 | 14.11 ± 1.46 | 0.1775 | | |
| >60 | 14.15 ± 1.10 | 13.70 ± 1.49 | 0.0092 | | |
| HbA1c (%) | Total | 5.45 ± 0.40 | 5.56 ± 0.58 | <0.001 | 0.440 |
| <40 | 5.34 ± 0.37 | 5.36 ± 0.55 | 0.301 | | |
| 40–60 | 5.42 ± 0.38 | 5.59 ± 0.64 | <0.001 | | |
| >60 | 5.62 ± 0.43 | 5.57 ± 0.58 | 0.905 | | |
| Urea (mg/dL) | Total | 27.8 ± 7.6 | 35.2 ± 13.6 | <0.001 | <0.001 |
| <40 | 26.2 ± 7.5 | 30.3 ± 9.7 | <0.001 | | |
| 40–60 | 27.8 ± 7.8 | 34.9 ± 12.9 | <0.001 | | |
| >60 | 29.3 ± 6.5 | 39.9 ± 16.9 | <0.001 | | |
| Phosphate (mg/dL) | Total | 1.03 ± 0.23 | 1.06 ± 0.32 | 0.102 | 0.230 |
| <40 | 1.05 ± 0.18 | 1.01 ± 0.32 | 0.265 | | |
| 40–60 | 1.03 ± 0.24 | 1.06 ± 0.30 | 0.0304 | | |
| >60 | 1.02 ± 0.21 | 1.09 ± 0.41 | 0.563 | |
Longitudinal Changes in Laboratory Parameters, stratified by Age.
Mean ± SD, values represent the average laboratory measurements and their Standard deviation (SD) for each parameter, stratified by age group and timepoint (baseline before donation and long-term follow-up. Longitudinal comparisons between T0 and LFUP, within each age group were performed using paired Wilcoxon signed-rank tests to assess whether changes over time are statistically significant. Between-group comparisons at the LFUP, timepoint were conducted using.
Kruskal-Wallis tests to evaluate differences across age groups. P-values are reported for both the longitudinal and between-group (age group) tests. A p-value less than 0.05 was considered statistically significant.
Abbreviations: Hb–hemoglobin; Hct–hematocrit; MDRD GFR, glomerular filtration rate estimated by Modification of Diet in Renal Disease equation; CKDepi GFR, glomerular filtration rate estimated by Chronic Kidney Disease Epidemiology Collaboration equation; HbA1c–glycated hemoglobin A1c; HDL, high-density lipoprotein; LDL, low-density lipoprotein; n - number; iPTH, intact parathyroid hormone; TSH, thyroid-stimulating hormone.
Bold values indicate statistical significance.
FIGURE 2
FIGURE 3
Across longitudinal follow-up, older age at donation was associated with lower eGFR values (−0.65 mL/min/1.73 m2 per year of age, p < 0.001), whereas the rate of eGFR decline did not differ by age group (interaction p = 0.54). Donors with hypertension demonstrated the largest early decline and slightly lower long-term eGFR values (Figure 4).
FIGURE 4
≥ 50% Decline in eGFR at Long-Term Follow-Up and Prevalence of eGFR <45 mL/min/1.73 m2
A ≥50% eGFR decline at long-term was detected in 6.8% of donors, with the prevalence increasing sharply with age (4.8% < 40 years, 5.3% 40–60 years, 14.4% > 60 years, p = 0.0053), Table 3. Even among younger donors, the incidence ranged from 3.0% in donors with a favorable profile to 14.3% in donors with both hypertension and obesity. In older donors, the risk was 12.5% in donors without risk factors, 22.4% in donors with one risk factor, and 45.5% in hypertensive obese donors (Figure 5).
TABLE 3
| Outcome | Total cohort | <40 years | 40–60 years | >60 years | p-value |
|---|---|---|---|---|---|
| ≥50% eGFR decline | 6.8 (40) | 4.8 (4) | 5.3 (21) | 14.4 (15) | 0.0053a |
| eGFR <45 mL/min/1.73 m2 | 8.0 (47) | 1.0 (1) | 5.5 (21) | 20.4 (25) | <0.001 |
| eGFR <30 mL/min/1.73 m2 | 1.2 (7) | 1.2 (1) | 1.0 (4) | 1.9 (2) | 0.6090a |
| Renal replacement therapy | 0.2 (2) | 0.1 (1) | 0.2 (1) | 0.0 (0) | — |
| MACE (composite) | 4.3 (27) | 2.2 (2) | 4.0 (17) | 7.0 (8) | 0.2300b |
| Myocardial infarction | 0.6 (4) | 0.1 (1) | 0.7 (3) | 0.0 (0) | 0.3968 |
| Stroke | 1.7 (11) | 0.0 (0) | 1.2 (6) | 4.3 (5) | 0.0432 |
| Cardiovascular death | 0.3 (2) | 0.0 (0) | 0.2 (1) | 0.9 (1) | 0.4603 |
| Peripheral artery disease events | 1.4 (9) | 1.2 (1) | 0.7 (5) | 1.7 (3) | 0.7045 |
| Death | 3.3 (21) | 0.0 (0) | 2.6 (11) | 8.7 (10) | 0.0012b |
Long-Term Outcome after Living Kidney Donation, stratified by Age.
Trend p-value (Cochran–Armitage).
Group p-value (chi-square/Fisher, as appropriate).
eGFR, estimated glomerular filtration rate; MACE, major adverse cardiac event.
Bold values indicate statistical significance.
FIGURE 5
eGFR <45 mL/min/1.73 m2 was identified in 8.0% of donors, with the prevalence increasing sharply with age (1.2% < 40 years, 5.3% 40–60 years, 20.4% > 60 years). The incidence of an eGFR <45 mL/min/1.73 m2 rose further with the presence of risk factors such as hypertension and obesity. In older donors, the risk was 12.5% in donors without risk factors, 22.4% in donors with one risk factor, and 45.5% in hypertensive obese donors (Figure 5).
Factors Associated With a ≥50% Decline in eGFR at Long-Term Follow-Up
In the univariate analysis (Table 4), age at donation strongly predicted a ≥50% decline in eGFR: each additional year increased the probability (≈odds) of a substantial GFR loss by about 4.7% (OR 1.047, p = 0.006). Donors >60 years had a more than three times higher risk compared to donors <40 years (OR 3.34, p = 0.038).
TABLE 4
| Characteristics | OR | 95%-CI | p |
|---|---|---|---|
| Demographics | |||
| Age (years) at donation | 1.047 | 1.013; 1.082 | 0.006 |
| <40 years | Reference | | |
| 40-60 years | 1.159 | 0.388:3.460 | 0.791 |
| >60 years | 3.337 | 1.068; 10.427 | 0.038 |
| Male gender | 1.043 | 0.583; 2.163 | 0.736 |
| BMI (kg/m2) | 1.016 | 0.940; 1.099 | 0.684 |
| BMI >30 kg/m2 | 1.243 | 0.555; 2.786 | 0.597 |
| Active smoker | 1.046 | 0.480; 2.279 | 0.909 |
| Blood pressure parameters | |||
| Mean arterial pressure (mmHg) | 1.040 | 1.009; 1.072 | 0.012 |
| Systolic BP (mmHg) | 1.030 | 1.010; 1.050 | 0.003 |
| Diastolic BP (mmHg) | 1.029 | 0.992; 1.067 | 0.124 |
| 24h systolic BP (mmHg) | 1.035 | 1.009; 1.062 | 0.009 |
| 24h diastolic BP (mmHg) | 1.035 | 0.992; 1.081 | 0.112 |
| History of comorbidities | |||
| Hypertension | 3.557 | 1.744; 7.256 | <0.001 |
| Prediabetes | 1.075 | 0.246; 4.696 | 0.923 |
| Hyperlipidemia | 1.580 | 0.592; 4.217 | 0.361 |
| Metabolic syndrome | 0.935 | 0.219; 2.730 | 0.931 |
| Thyroid disease | 2.910 | 1.419; 5.965 | 0.004 |
| Cardiovascular disease | 3.010 | 0.34; 26.36 | 0.321 |
| Malignant diseases | 1.14 | 0.15; 8.94 | 0.901 |
| COPD/Asthma/Chronic bronchitis | 1.344 | 0.305–5,932 | 0.696 |
| Medication use | |||
| Antihypertensive medication | 2.19 | 1.133; 4.246 | 0.020 |
| Number of antihypertensives | 1.390 | 0.981; 1.969 | 0.064 |
| Lipid-lowering drugs | 2.99 | 1.085; 8.236 | 0.034 |
| Thyroid medication | 2.527 | 1.183; 5.394 | 0.017 |
| Baseline laboratory | |||
| Creatinine (mg/dL) | 0.730 | 0.095; 5.583 | 0.761 |
| MDRD eGFR (mL/min/1.73 m2) | 0.997 | 0.981; 1.012 | 0.666 |
| CKDepi eGFR (mL/min/1.73 m2) | 0.991 | 0.970; 1.013 | 0.433 |
| Cockroft-gault-eGFR (mL/min) | 0.991 | 0.979; 1.003 | 0.168 |
| MAG3-clearance (mL/min/1.73m2) | 0.996 | 0.988; 1.004 | 0.302 |
| Creatinine-clearance (mL/min/1.73m2) | 0.989 | 0.976; 1.002 | 0.094 |
| Hemoglobin (g/dL) | 1.089 | 0.846; 1.402 | 0.509 |
| Cholesterol (mg/dL) | 0.995 | 0.986; 1.004 | 0.256 |
| Triglycerids (mg/dL) | 0.999 | 0.993; 1.004 | 0.680 |
| LDL cholesterol (mg/dL) | 0.995 | 0.982; 1.007 | 0.413 |
| HDL cholesterol (mg/dL) | 0.992 | 0.967; 1.018 | 0.539 |
| Blood glucose (mg/dL) | 1.000 | 0.979; 1.023 | 0.968 |
| HbA1c (%) | 1.312 | 0.517; 3.376 | 0.561 |
| TSH (µIU/mL) | 1.170 | 0.997; 1.374 | 0.055 |
| Phosphate | 1.399 | 0.370; 5.291 | 0.806 |
| iPTH | 1.011 | 0.652; 1.567 | 0.962 |
| Urea (mg/dL) | 0.994 | 0.951; 1.040 | 0.806 |
| Urine albumine (mg/L) | 0.983 | 0.863; 1.121 | 0.803 |
| Urine protein (g/L) | |||
| <0.03 g/L | Reference | | |
| 0,03-0.15 g/L | 1.008 | 0.518; 1.986 | 0.981 |
| >0.15 g/L | 3.348 | 0.872; 12.858 | 0.078 |
| Long-term follow-up data | |||
| Time since donation (months) | 1.006 | 1.002–1.011 | 0.002 |
| Age at follow-up (years) | 1.075 | 1.040; 1.112 | <0.001 |
| Comorbidities | |||
| Hypertension | 2.136 | 1.001; 4.560 | 0.049 |
| Diabetes mellitus | 9.200 | 0.213; 3.964 | 0.910 |
| Hyperlipidemia | 1.693 | 0.872; 3.286 | 0.120 |
| Thyroid disease | 6.280 | 0.273; 1.445 | 0.273 |
| Cardiovascular disease | 2.320 | 0.927; 5.806 | 0.072 |
| Malignant diseases | 2.391 | 1.095; 5.223 | 0.029 |
| Major cardiovascular events | - | 0.00-lnf | 0.984 |
Univariate Logistic Regression Analysis of Predictors for eGFR Decline ≥50% at Long-Term Follow-Up.
Bold values indicate statistical significance.
Among preexisting comorbidities, hypertension and thyroid disease proved to be significant predictors, while hyperlipidemia, cardiovascular disease, and prediabetes were not predictive. The use of antihypertensive, lipid-lowering, and thyroid medications were also linked to a higher risk.
Each additional month since donation, increased the risk. Older age at follow-up also remained a strong predictor. At long-term follow-up, hypertension (both preexisting and new-onset) was associated with GFR loss, and the presence of malignancy also increased the risk.
Factors Associated With an eGFR <45 mL/min/m2 at Long-Term Follow-Up
Older age at donation increased the long-term risk of an eGFR <45 mL/min/1.73 m2 by approximately 10.6% per years (OR 1.11, p < 0.001), Table 5. Donors older than 60 years had a substantially higher risk compared with those younger than 40 years (OR 6.62, p < 0.001). Pre-existing hypertension was associated with an approximately twofold increased risk of an eGFR <45 mL/min/1.73 m2 (OR 2.07, p = 0.002. A similar increase was observed for hyperlipidemia (OR 2.40, p = 0.036). Thyroid disease was also associated with a significantly higher risk of reduced eGFR (OR 2.30, p = 0.020).
TABLE 5
| Characteristics | OR | 95%-CI | p |
|---|---|---|---|
| Demographics | |||
| Age (years) at donation | 1.11 | [1.07; 1.15] | <0.001 |
| <40 years | Reference | | |
| 40-60 years | 4.794 | [0.637; 36.098] | 0.128 |
| >60 years | 6.62 | [3.56; 12.31] | <0.001 |
| Male gender | 1.256 | [0.688; 2.294] | 0.458 |
| BMI (kg/m2) | 1.028 | [0.958; 1.104] | 0.441 |
| BMI >30 kg/m2 | 1.707 | [0.855; 3.409] | 0.130 |
| Active smoker | 0.540 | [0.236; 1.234] | 0.144 |
| Blood pressure parameters | |||
| Mean arterial pressure (mmHg) | 1.039 | 1.010; 1.069 | 0.008 |
| Systolic BP (mmHg) | 1.032 | 1.014; 1.051 | <0.001 |
| Diastolic BP (mmHg) | 1.024 | 0.990; 1.059 | 0.175 |
| 24h SBP (mmHg) | 1.033 | 1.009; 1.057 | 0.008 |
| 24h DBP (mmHg) | 1.022 | 0.984; 1.062 | 0.255 |
| Comorbidities | |||
| Hypertension | 2.073 | 1.130; 3.802 | 0.002 |
| Prediabetes | 1.890 | 0.631; 5.661 | 0.256 |
| Hyperlipidemia | 2.399 | 1.059; 5.437 | 0.036 |
| Metabolic syndrome | 1.150 | 0.333; 3.030 | 0.799 |
| Thyroid disease | 2.296 | 1.142; 4.617 | 0.020 |
| Cardiovascular disease | 1.47 | 0.50; 4.36 | 0.484 |
| Malignant diseases | 2.119 | 0.460; 9.759 | 0.335 |
| COPD/Asthma/Chronic bronchitis | - | 0.000; lnf | |
| Medication use | |||
| Antihypertensive medication | 2.493 | 1.355; 4.586 | 0.003 |
| Number of antihypertensives | 1.474 | 1.073; 2.024 | 0.017 |
| Lipid-lowering drugs | 3.920 | 1.598; 9.617 | 0.003 |
| Thyreoid medication | 2.021 | 0.962; 4.246 | 0.063 |
| Baseline laboratory | |||
| Creatinine (mg/dL) | 53.750 | 8.808; 327.982 | <0.001 |
| MDRD eGFR (mL/min/1.73 m2) | 0.953 | 0.936; 0.970 | <0.001 |
| CKDepi eGFR (mL/min/1.73 m2) | 0.924 | 0.903; 0.946 | <0.001 |
| Cockroft-gault eGFR (mL/min) | 0.962 | 0.947; 0.977 | <0.001 |
| MAG3-clearance (mL/min/1.73m2) | 0.992 | 0.984; 0.999 | 0.2500 |
| Creatinine-clearance (mL/min/1.73m2) | 0.985 | 0.972; 0.997 | 0.1600 |
| Hemoglobin (g/dL) | |||
| Cholesterol (mg/dL) | 0.997 | 0.989; 1.005 | 0.432 |
| Triglycerids (mg/dL) | 0.998 | 0.993:1.003 | 0.484 |
| LDL cholesterol | 0.995 | 0.984; 1.021 | 0.964 |
| HDL cholesterol (mg/dL) | 1.000 | 0.978; 1.337 | 0.074 |
| Blood glucose | 1.012 | 0.993; 1.031 | 0.210 |
| HBA1c (%) | 2.017 | 0.863; 4.710 | 0.105 |
| TSH (mU/mL) | 1.149 | 0.987; 1.337 | 0.074 |
| Urea (mg/dL) | 1.022 | 0.983; 1.062 | 0.280 |
| Urine albumine (mg/L) | 1.020 | 0.927; 1.124 | 0.681 |
| Urine protein (g/L) | |||
| <0.03 g/L | Reference | | |
| 0,03–0.15 g/L | 0.956 | 0.523; 1.750 | 0.885 |
| >0.15 g/L | 0.729 | 0.092; 5.772 | 0.765 |
| Long-term follow-up data | |||
| Time since donation (months) | 1.002 | 0.998; 1.006 | 0.401 |
| Age at follow-up (years) | 1.105 | 1.069; 1.006 | <0.001 |
| Comorbidities | |||
| Hypertension | 2.319 | 1.133; 4.746 | 0.021 |
| Diabetes mellitus | 0.768 | 0.179; 3.292 | 0.722 |
| Hyperlipidemia | 1.948 | 1.060; 3.578 | 0.032 |
| Thyroid disease | 1.087 | 0.527; 2.243 | 0.821 |
| Cardiovascular disease | 2.794 | 1.232; 6.336 | 0.014 |
| Malignant diseases | 1.381 | 0.597:3.195 | 0.451 |
| Major cardiovascular events | 0.996 | 0.228; 4.338 | 0.995 |
Univariate Logistic Regression Analysis: eGFR CKDepi <45 mL/min/1.73 m2 at Long-Term Follow-Up.
BMI, Body Mass Index; BP, blood pressure; CI, confidence interval; CKDepi eGFR, glomerular filtration rate estimated by Chronic Kidney Disease Epidemiology Collaboration equation; COPD, chronic obstructive pulmonary disease; GFR, glomerular filtration rate; HbA1c–glycated hemoglobin A1c; HDL, high-density lipoprotein; LDL, low-density lipoprotein; MDRD eGFR, glomerular filtration rate estimated by Modification of Diet in Renal Disease equation; TSH, thyroid-stimulating hormone; OR, odds ratio: p–significance p.
Bold values indicate statistical significance.
A lower baseline GFR as measured by MDRD, CKDepi, and Cockcroft-Gault formulas predicted a higher risk (all p < 0.001).
At long-term follow-up, older age continued to increase the risk by approximately 10.5% per year. Hypertension, hyperlipidemia, and malignant diseases were also significantly associated with increased risk.
In the multivariate analysis, age at donation, hypertension and baseline eGFR (OR 0.93), remained independent predictors (Figure 6).
FIGURE 6
Determinants of Early Post-Donation eGFR-Decline
In multivariable linear regression analyses with absolute early eGFR change (ΔeGFR 0–12 months) as the dependent variable, baseline eGFR showed the strongest association with early decline (standardized β = −0.29, p < 0.001). Age at donation was independently associated with early decline but with a smaller effect size (standardized β = −0.16, p = 0.002). Hypertension showed a modest additional association (standardized β = −0.10, p = 0.023), whereas BMI and donation era were not independently associated with early eGFR change. When early eGFR change was expressed as a percentage of baseline function, age at donation and baseline eGFR showed comparable but smaller effect sizes (standardized β = −0.16 and −0.12, respectively), while BMI and donation era remained non-significant.
Clinical Consequences and Preservation of Kidney Function
Severe renal impairment was rare, an eGFR <30 mL/min/1.73 m2 was observed in 1.2% and <15 mL/min/1.73 m2 in 0.3% of donors. Two patients required renal replacement therapy. Preservation of renal function (≤20% decline) was noted in 20.0% overall (32.4% in donors <40 years, 22.0% in donors 40–60 years, and 15.4% in donors >60 years).
MACE occurred in 4.3% (n = 27) of donors (Table 2), increasing with age (mean age at donation 55 years) and longer follow-up.
Twenty-one deaths occurred predominantly among older donors (mean age 73 ± 8.7 years at death), with malignancies accounting for 52.4%. Median time from donation to death was 14 years (IQR 10–19). Overall long-term survival was high across all age groups (Table 3).
Longitudinal Changes in Laboratory Parameters
Glycemic control remained stable, although HbA1c levels increased slightly within the normal range from 5.45% ± 0.40% to 5.56% ± 0.58% (p < 0.001), mainly in donors aged 40–60 years.
Total cholesterol levels remained largely stable across the entire cohort, except for a small but significant increase in older donors (p = 0.0017), Table 2. Hemoglobin and hematocrit showed minimal changes, apart from a mild decline in hemoglobin among donors >60 years (p = 0.0092), Table 2.
Exploratory Risk Stratification Based on Baseline Donor Characteristics
An exploratory risk stratification was performed to describe patterns of long-term renal outcomes according to baseline donor characteristics. Using baseline variables that were independently associated with an eGFR <45 mL/min/1.73 m2, including age (β = 0.062 per year), hypertension (β = 1.113), and baseline eGFR (β = −0.069 per mL/min/1.73 m2), a composite risk score was constructed to summarize their combined effects.
A two-dimensional risk map illustrated the joint association of age, hypertension, and baseline eGFR with the prevalence of eGFR <45 mL/min/1.73 m2, showing a progressive increase with advancing age and lower baseline kidney function, particularly among hypertensive donors (Figure 7). When grouped into tertiles, the observed prevalence of eGFR <45 mL/min/1.73 m2 increased from 1.0% in the lowest to 20.0% in the highest risk category (Figure 8A). Across age strata, predicted and observed prevalences were closely aligned (<40 years: 1.4% vs. 1.2%; 40–60 years: 5.8% vs. 5.3%; >60 years: 21.9% vs. 24.0%; Figure 7B).
FIGURE 7
FIGURE 8
Model discrimination was quantified for descriptive purposes and showed an AUC of 0.84 (95% CI 0.78–0.89; Figure 9).
FIGURE 9
Cardiovascular Disease in Older Donors
Cardiovascular disease at baseline was uncommon overall but more frequent in older donors. Among donors >60 years, 19 of 115 (16.5%) had cardiovascular disease at baseline. Baseline kidney function was comparable between donors with and without cardiovascular disease. Long-term renal outcomes were also similar: eGFR <45 mL/min/1.73 m2 occurred in 21.1% versus 21.9%, and a ≥50% decline in eGFR in 23.5% versus 13.8%, respectively. Major adverse cardiovascular events occurred in 10.5% versus 6.3%.
Outcome of Donors Aged ≥70 years
Among donors aged ≥70 years (mean 72, range 70–78 years), 55% were male. Most donated to their children (45%) or partners (35%). The mean follow-up period was 10.1 ± 2.5 years (range 7.1–14.7). Baseline eGFR (CKDepi) was 84.7 ± 9.0 mL/min/1.73 m2, and 75% had at least one comorbidity, most commonly hypertension (65%), hyperlipidemia (30%), and cardiovascular disease (30%), Table 6.
TABLE 6
| Parameter | Baseline | Last follow-up | Significance baseline – last follow up |
|---|---|---|---|
| Hypertension | 65.0 | 85.0 | 0.125 |
| Diabetes mellitus | 0.0 | 5.0 | 0.004 |
| Prediabetes | 20.0 | 35.0 | 0.480 |
| Hyperlipidemia | 30.0 | 50.0 | 0.125 |
| Cardiovascular disease | 30.0 | 40.0 | 0.500 |
| Malignancy | 0.0 | 10.0 | 0.487 |
| Thyroid disease | 25.0 | 25.0 | - |
| COPD/Asthma/Chronic bronchitis | 0.0 | 0.0 | |
| Impaired mental health | 5.0 | 5.0 | 0.997 |
| Family history of kidney disease | 40.0 | 40.0 | 0.998 |
| CKDepi GFR (mean +/- SD) | 84.7 ± 9.0 | 53.6 ± 14.7 | <0.01 |
| Drop of 50% eGFR | - | 18.75 | |
| eGFR <45 mL/min/1.73 m2 | 0.0 | 25.0 | - |
| eGFR <30 mL/min/1.73 m2 | 0.0 | 0.0 | - |
| Renal replacement therapy | 0.0 | 0.0 | - |
| Death | - | 4.8 | - |
| Composite MACE | 0.0 | 15.0 | 0.25 |
Baseline characteristics and long-term outcome of living kidney donors aged ≥70 years (n = 21).
Continuous variables are presented as mean ± standard deviation (SD), and group comparisons were performed using the non-parametric Kruskal-Wallis test. Categorical variables are shown as percentages, and were compared using the Chi-square test or Fisher’s exact test, as appropriate. A p-value less than 0.05 was considered statistically significant.
Abbreviations: CKDepi GFR, glomerular filtration rate estimated by Chronic Kidney Disease Epidemiology Collaboration equation; COPD, chronic obstructive pulmonary disease; eGFR, estimated glomerular filtration rate; MACE, major adverse cardiac event; SD, standard deviation.
Bold values indicate statistical significance.
After donation, the mean eGFR decreased by 37.7% and subsequently remained stable (year 1: 54.5 ± 20.0 mL/min/1.73 m2 at year one, last follow-up: 53.6 ± 14.7 mL/min/1.73 m2; mean age 82 years). A ≥50% decline in eGFR occurred in 18.8%, and 25% had eGFR <45 mL/min/1.73 m2, but none dropped below 30 mL/min/1.73 m2 or required renal replacement therapy.
MACE occurred in 15%, while diabetes, malignancy, and psychiatric disorders were rare. One donor died from prostate cancer during long-term follow-up.
Discussion
In this prospective caucasian cohort with long-term follow-up, living kidney donation demonstrated favorable clinical outcomes across a broad age spectrum. The mean donor age of 51 ± 11 years was 5–10 years higher than in most international cohorts (e.g., US: 41 ± 12 years; New Zealand: median 44 years) [21–23]. The donor population in this study closely resembled contemporary European cohorts, including the SoLKiD German National Registry (GNR) [24] and other European cohorts [7, 24, 25].
Importantly. living kidney donors do not represent a uniformly healthy cohort, but rather reflect an aging population and the gradual expansion of donor eligibility criteria driven by long waiting time for a brain-death donor due to donor shortage in Germany. Overweight and obesity were widespread, affecting 40.5% of donors and cardiometabolic risk factors were already prevalent at baseline. Hypertension was present in nearly half of donors, hyperlipidemia and prediabetes were less frequent, and approximately one-quarter of donors were active smokers, particularly among younger individuals. In contrast, established cardiovascular disease, malignancy, and mental health impairment were rare at the time of donation.
Women constituted 62.5% of donors, particularly in the youngest age group (71%), likely reflecting sociocultural factors and clinical considerations. This requires particular attention as donation by women of child-bearing age bears special risks due to potential pregnancy-related complications following nephrectomy [26, 27]. Sex was not associated with long-term kidney function decline in this cohort, consistent with several prior studies, although sex-specific effects remain inconsistently reported in the literature [10, 11, 28–30]. Nearly two-thirds of donors were biologically related to their recipients, which may modestly increase long-term renal risk through shared genetic or environmental factors [10, 11, 31, 32].
A key finding is the clear separation between early post-donation kidney function changes and long-term trajectories. As expected, eGFR declined by approximately 26% within the first year after donation, consistent with physiological adaptation to nephrectomy. The magnitude of early eGFR decline during the first year after donation was largely driven by baseline eGFR and, to a lesser extent, by age and preexisting hypertension. Donors with higher baseline eGFR experienced greater absolute early declines, consistent with a physiological ceiling effect of renal adaptation [33, 34]. In stratified analyses, donors with obesity alone showed slightly higher baseline eGFR values and comparable long-term trajectories. This likely reflects selection effects and higher baseline renal reserve, as obese individuals are accepted for donation only after careful screening, and higher baseline eGFR may partly reflect adaptive hyperfiltration.
After this initial adaptive phase, kidney function remained stable over long-term follow-up across all age groups. This observation aligns with prior work describing rapid compensatory hyperfiltration within the first months to years after donation, followed by a plateau phase without evidence of progressive decline in most donors [35]. Given the comparatively high donor age in many European countries [7, 15], our analyses extend prior work by disentangling age-related differences in achieved post-donation kidney function from age-related differences in the rate of kidney function change over time. Linear mixed-effects models demonstrated that older age at donation was associated with lower eGFR values throughout follow-up, whereas the slope of eGFR change did not differ significantly by age. Thus, age primarily influenced the level of kidney function prior to donation and immediately after donation rather than accelerating post-donation decline. The average decline of 35.1% was comparable to previous studies reporting a post-donation GFR decrease of 25%–40% with a similar or only marginally higher long-term risk of ESRD compared to the general population [4, 28, 32]. Even among donors aged ≥70 years, severe renal impairment was rare, and no donor progressed to ESRD.
Long-term renal impairment, as assessed by two primary endpoints, followed a clear age-related gradient but remained clinically reassuring in terms of severe outcomes. The primary endpoint of an eGFR <45 mL/min/1.73 m2 - was observed in 8.0% overall, 20.4% in donors age >60 years. Severe renal impairment was rare, with eGFR <30 mL/min/1.73 m2 in 1.2% and eGFR <15 mL/min/1.73 m2 in 0.3% of donors. The second primary endpoint - aGFR decline ≥50% at long-term - occurred in 6.8% overall and increased with age (4.8% < 40 years, 5.3% 40–60 years, 14.4% > 60 years). Beyond age, renal risk was highly heterogeneous and strongly modified by baseline risk profile. In younger donors with favorable risk profiles (no hypertension, BMI <25 kg/m2), the prevalence of reduced eGFR was negligible, but increased to 4.5%–10.6% in young donors with hypertension or obesity. In older donors, risk likewise varied considerably, ranging from low levels in donors without risk factors up to 45.5% in donors with hypertension and a BMI ≥30 kg/m2. These findings underscore that chronological age alone is insufficient for individualized risk assessment and that long-term renal outcomes after donation are shaped by the interaction between baseline renal reserve and comorbidity burden—such that younger donors with adverse metabolic profiles may experience less favorable outcomes than some older but otherwise healthy donors.
Cardiovascular risk factors were also common in younger donors. Smoking was more prevalent among younger donors, whereas hypertension affected more than 65% of donors older than 60 years at follow-up. Although cardiovascular disease was rare at donation, its prevalence increased over time, especially among older donors. At time of donation, only 0.9% had relevant cardiovascular disease, increasing to 6.6% overall and 16.5% among donors over 60 years. Similarly, Colucci et al. reported only 3.2% new-onset cardiovascular disease after 10 years of follow-up [25]. A Norwegian registry study observed a modestly increased risk of ischemic heart disease in donors (3.5%) compared with controls (1.7%) [36], while other large studies found no significant difference in cardiovascular morbidity and mortality between donors and healthy non-donors [37, 38]. Overall, the available evidence suggests that living kidney donation, when donors are carefully selected and monitored, is not associated with a substantial excess cardiovascular risk. The observed rise in modifiable risk factors such as hypertension and hyperlipidemia over time underscores the importance of structured long-term care, including lifestyle counseling and optimized blood-pressure management.
Longitudinal follow-up highlighted additional clinically relevant aspects. Younger age does not protect against the development of new comorbidities, including mental health impairment, which remains an often underrecognized aspect of donor follow-up. Psychological screening and support should be integral components of long-term donor care, even for individuals initially classified as low risk. Similarly, the rise in malignancy incidence, particularly among older donors, appears age-related rather than donation-related but supports the need for age-appropriate cancer surveillance.
Finally, the present study explores whether data-informed approaches may help to characterize heterogenity of long-term renal risk after living kidney donation. While earlier models, such as that by Grams et al., estimated lifetime ESRD risk in potential donors [31], the present analyses addressed post-donation renal outcomes within a well-characterized donor cohort. Exploratory analyses suggested that a limited set of routinely available baseline clinical parameters - particularly baseline eGFR and hypertension status, togethter with age - captured a substantial proportion of the variation in long-term renal outcomes. Although not intended as a predictive tool, this approach illustrates how readily available clinical information may support more individualized counseling and risk-adapted follow-up strategies. Given that the HeiKiD approach was derived from a predominantly Caucasian European donor cohort, its applicability is likely most relevant to similar donor populations. Such approaches may complement clinical judgment but require external validation before broader application.
This study has limitations. The cohort represents caucasian donors mainly from Germany; however, donor characteristics were comparable to national and other European cohorts [7, 24, 25], suggesting reasonable generalizability within similar healthcare settings. In addition, the absence of a non-donor control group precludes direct estimation of donation-attributable risk. Accordingly, the observed outcomes describe post-donation trajectories within the donor population rather than comparative risk relative to non-donors.
In conclusion, this long-term prospective cohort demonstrates stable kidney function after the expected early adaptive decline following living kidney donation, even in an aging donor population. Clinically relevant renal impairment increased with age, yet severe renal impairment and renal replacement therapy were rare. Long-term outcomes were not driven by chronological age alone but reflected the combined influence of baseline renal reserve, hypertension, and comorbidity burden. Using a small number of routinely available clinical parameters, long-term renal risk could be meaningfully characterized, supporting individualized donor counseling and risk-adapted lifelong follow-up.
Statements
Data availability statement
The datasets presented in this article are not readily available because partial restrictions apply to the availability of these data, which were used under license for the current study, and so are not publicly available. Requests to access the datasets should be directed to claudia.sommerer@med.uni-heidelberg.de.
Ethics statement
The studies involving humans were approved by Ethics committee of the University Hospital Heidelberg. The studies were conducted in accordance with the local legislation and institutional requirements. The participants provided their written informed consent to participate in this study.
Author contributions
CS designed and conducted the study, recruited patients, collected and analyzed data, and wrote the manuscript; IS collected and analyzed data, and wrote the manuscript; NK and ZB collected data; MZ recruited patients and supervised the study. All authors contributed to the article and approved the submitted version.
Funding
The author(s) declared that financial support was not received for this work and/or its publication.
Acknowledgments
We thank the HeiKiD study group for their excellent support and all participating donors for their contribution.
Conflict of interest
The authors(s) declared that this work was conducted in the absence of any commercial or financial relationships that could be construed as a potential conflict of interest.
Generative AI statement
The author(s) declared that generative AI was not used in the creation of this manuscript.
Any alternative text (alt text) provided alongside figures in this article has been generated by Frontiers with the support of artificial intelligence and reasonable efforts have been made to ensure accuracy, including review by the authors wherever possible. If you identify any issues, please contact us.
References
1.
CoemansMCallemeynJNaesensM. Long-Term Survival After Kidney Transplantation. N Engl J Med (2022) 386(5):497–8. 10.1056/NEJMc2115207
2.
ReesePPBoudvilleNGargAX. Living Kidney Donation: Outcomes, Ethics, and Uncertainty. Lancet (2015) 385(9981):2003–13. 10.1016/s0140-6736(14)62484-3
3.
Meier-KriescheHUKaplanB. Waiting Time on Dialysis as the Strongest Modifiable Risk Factor for Renal Transplant Outcomes: A Paired Donor Kidney Analysis. Transplantation (2002) 74(10):1377–81. 10.1097/00007890-200211270-00005
4.
LentineKLLamNNSegevDL. Risks of Living Kidney Donation: Current State of Knowledge on Outcomes Important to Donors. Clin J Am Soc Nephrol (2019) 14(4):597–608. 10.2215/cjn.11220918
5.
ScholdJDGoldfarbDABucciniLDRodrigueJRMandelbrotDAHeaphyELGet alComorbidity Burden and Perioperative Complications for Living Kidney Donors in the United States. Clin J Am Soc Nephrol (2013) 8(10):1773–82. 10.2215/cjn.12311212
6.
ClemensKBoudvilleNDewMAGeddesCGillJSJassalVet alThe Long-Term Quality of Life of Living Kidney Donors: A Multicenter Cohort Study. Am J Transpl (2011) 11(3):463–9. 10.1111/j.1600-6143.2010.03424.x
7.
BrüggerCHunkelerZDieboldMKrättliJGeigerIWehmeierCet alEarly Complications in Kidney Donors and Course of Health-Related Quality of Life 12 Mo After Donation: An Analysis of the Swiss Organ Living-Donor Health Registry. Transpl Direct (2024) 10(11):e1716. 10.1097/txd.0000000000001716
8.
SommererCFeuersteinDDikowRRauchGHartmannMSchaierMet alPsychosocial and Physical Outcome Following Kidney donation-a Retrospective Analysis. Transpl Int (2015) 28(4):416–28. 10.1111/tri.12509
9.
GossmannJWilhelmAKachelHGJordanJSannUGeigerHet alLong-Term Consequences of Live Kidney Donation Follow-Up in 93% of Living Kidney Donors in a Single Transplant Center. Am J Transpl (2005) 5(10):2417–24. 10.1111/j.1600-6143.2005.01037.x
10.
MjøenGHallanSHartmannAFossAMidtvedtKØyenOet alLong-Term Risks for Kidney Donors. Kidney Int (2014) 86(1):162–7. 10.1038/ki.2013.460
11.
MuzaaleADMassieABWangMCMontgomeryRAMcBrideMAWainrightJLet alRisk of End-Stage Renal Disease Following Live Kidney Donation. Jama (2014) 311(6):579–86. 10.1001/jama.2013.285141
12.
ReesePPCaplanALKesselheimASBloomRD. Creating a Medical, Ethical, and Legal Framework for Complex Living Kidney Donors. Clin J Am Soc Nephrol (2006) 1(6):1148–53. 10.2215/cjn.02180606
13.
KochMWegnerJBormannEKrönckeSRiepenhausenSNeuhausPet alSelf-Reported Outcome of Living Kidney Donation Correlates with Perioperative Complications Not with Surgical Techniques. Kidney Int Rep (2025) 10(9):3058–69. 10.1016/j.ekir.2025.06.052
14.
BelliniMINozdrinMPengelLKnightSPapaloisV. How Good Is a Living Donor? Systematic Review and meta-analysis of the Effect of Donor Demographics on Post Kidney Transplant Outcomes. J Nephrol (2022) 35(3):807–20. 10.1007/s40620-021-01231-7
15.
SommererCBougioukouZGeorgiouVLMehrabiAZeierM. Shift in Living Kidney Donor Demographics Over the Past 50 Years in a German Transplant Center. Ann Transpl (2021) 26:e929693. 10.12659/aot.929693
16.
ReesePPFeldmanHIMcBrideMAAndersonKAschDABloomRD. Substantial Variation in the Acceptance of Medically Complex Live Kidney Donors Across US Renal Transplant Centers. Am J Transpl (2008) 8(10):2062–70. 10.1111/j.1600-6143.2008.02361.x
17.
HiramitsuTTomosugiTFutamuraKOkadaMTsujitaMGotoNet alPreoperative Comorbidities and Outcomes of Medically Complex Living Kidney Donors. Kidney Int Rep (2020) 5(1):13–27. 10.1016/j.ekir.2019.10.002
18.
SuwelackBBergerKWoltersHGerßJWOBormannEWörmannVet alResults of the Prospective Multicenter Solkid Cohort Study Indicate Bio-Psycho-Social Outcome Risks to Kidney Donors 12 Months After Donation. Kidney Int (2022) 101(3):597–606. 10.1016/j.kint.2021.12.007
19.
GoASChertowGMFanDMcCullochCEHsuCY. Chronic Kidney Disease and the Risks of Death, Cardiovascular Events, and Hospitalization. N Engl J Med (2004) 351(13):1296–305. 10.1056/NEJMoa041031
20.
MatsushitaKvan der VeldeMAstorBCWoodwardMLeveyASde JongPEet alAssociation of Estimated Glomerular Filtration Rate and Albuminuria With All-Cause and Cardiovascular Mortality in General Population Cohorts: A Collaborative Meta-Analysis. Lancet (2010) 375(9731):2073–81. 10.1016/s0140-6736(10)60674-5
21.
NaikASCibrikDMSakhujaASamaniegoMLuYShahinianVet alTemporal Trends, Center-Level Variation, and the Impact of Prevalent State Obesity Rates on Acceptance of Obese Living Kidney Donors. Am J Transpl (2018) 18(3):642–9. 10.1111/ajt.14519
22.
ChanLWIrishGLGohTLAlnasrallahBDaviesCESypekMPet alOutcomes of Living Kidney Donors Following Donor Nephrectomy in Aotearoa New Zealand. Kidney Int Rep (2025) 10(3):762–71. 10.1016/j.ekir.2024.11.1362
23.
HabbousSArnoldJBegenMABoudvilleNCooperMDipchandCet alDuration of Living Kidney Transplant Donor Evaluations: Findings From 2 Multicenter Cohort Studies. Am J Kidney Dis (2018) 72(4):483–98. 10.1053/j.ajkd.2018.01.036
24.
SommererCKrönckeSWegnerJBormannERiepenhausenSNeuhausPet alHealth Status of Living Kidney Donors in Germany – Insights into the German Living Donation Registry SOLKID-GNR (Safety of the Living Kidney Donor-German National Registry). In: Annual Meeting of the Deutsche Transplantationsgesellschaft (DTG). Germany (2025).
25.
ColucciVGalloPSimoneSMorroneLAlfieriCMGesualdoLet alLong-Term Renal and Cardiovascular Outcome of Living Kidney Donors: A Single-Center Retrospective Observation Study. Front Med (Lausanne) (2022) 9:966038. 10.3389/fmed.2022.966038
26.
RossiAPKatz-GreenbergGCosciaLBradyCWDoligalskiCIraniRAet alLiving Donation and Pregnancy-Related Complications: State of the Evidence and Call to Action for Improved Risk Assessment. Clin J Am Soc Nephrol (2024) 19(12):1659–70. 10.2215/cjn.0000000593
27.
Katz-GreenbergGAfsharYBonnJCasaleJConstantinescuSDeFilippisEMet alPregnancy After Solid Organ Transplantation: Review of the Evidence and Recommendations. Transplantation (2025) 109(9):1483–94. 10.1097/tp.0000000000005341
28.
LamNNLloydALentineKLQuinnRRRavaniPHemmelgarnBRet alChanges in Kidney Function Follow Living Donor Nephrectomy. Kidney Int (2020) 98(1):176–86. 10.1016/j.kint.2020.03.034
29.
BelliniMINozdrinMPengelLKnightSPapaloisV. Risks for Donors Associated With Living Kidney Donation: Meta-Analysis. Br J Surg (2022) 109(8):671–8. 10.1093/bjs/znac114
30.
SommererCEstelmannSMetzendorfNGLeuschnerMZeierM. Gender Disparity in Health-Related Quality of Life and Fatigue After Living Renal Donation. BMC Nephrol (2018) 19(1):377. 10.1186/s12882-018-1187-8
31.
GramsMESangYLeveyASMatsushitaKBallewSChangARet alKidney-Failure Risk Projection for the Living Kidney-Donor Candidate. N Engl J Med (2016) 374(5):411–21. 10.1056/NEJMoa1510491
32.
IbrahimHNFoleyRTanLRogersTBaileyRFGuoHet alLong-Term Consequences of Kidney Donation. N Engl J Med (2009) 360(5):459–69. 10.1056/NEJMoa0804883
33.
LenihanCRBusqueSDerbyGBlouchKMyersBDTanJC. Longitudinal Study of Living Kidney Donor Glomerular Dynamics After Nephrectomy. J Clin Invest (2015) 125(3):1311–8. 10.1172/jci78885
34.
TanJCBusqueSWorkenehBHoBDerbyGBlouchKLet alEffects of Aging on Glomerular Function and Number in Living Kidney Donors. Kidney Int (2010) 78(7):686–92. 10.1038/ki.2010.128
35.
OrucAPekinDKahramanCSOrtacHGulluluEGulCBet alEvaluation of Risk Factors for Kidney Function Decline and Chronic Kidney Disease in Living Kidney Donors. J Clin Med (2025) 14(11):3873. 10.3390/jcm14113873
36.
HaugenAJHallanSLangbergNEDahleDOPihlstrømHBirkelandKIet alIncreased Risk of Ischaemic Heart Disease After Kidney Donation. Nephrol Dial Transpl (2022) 37(5):928–36. 10.1093/ndt/gfab054
37.
GargAXMeirambayevaAHuangAKimJPrasadGVRKnollGet alCardiovascular Disease in Kidney Donors: Matched Cohort Study. Bmj (2012) 344:e1203. 10.1136/bmj.e1203
38.
ReesePPBloomRDFeldmanHIRosenbaumPWangWSaynischPet alMortality and Cardiovascular Disease Among Older Live Kidney Donors. Am J Transpl (2014) 14(8):1853–61. 10.1111/ajt.12822
Summary
Keywords
age, cardiovascular risk, living kidney donation, renal function, risk score
Citation
Sommerer C, Schröter I, Kuhlmann NM, Bougioukou Z and Zeier M (2026) Long-Term Outcomes Across Age and Risk Profiles in a Caucasian Living Kidney Donor Cohort. Transpl. Int. 39:16266. doi: 10.3389/ti.2026.16266
Received
19 January 2026
Revised
09 March 2026
Accepted
01 April 2026
Published
23 April 2026
Volume
39 - 2026
Updates
Copyright
© 2026 Sommerer, Schröter, Kuhlmann, Bougioukou and Zeier.
This is an open-access article distributed under the terms of the Creative Commons Attribution License (CC BY). The use, distribution or reproduction in other forums is permitted, provided the original author(s) and the copyright owner(s) are credited and that the original publication in this journal is cited, in accordance with accepted academic practice. No use, distribution or reproduction is permitted which does not comply with these terms.
*Correspondence: Claudia Sommerer, claudia.sommerer@med.uni-heidelberg.de
ORCID: Claudia Sommerer, orcid.org/0000-0001-5080-0979; Iris Schröter orcid.org/0009-0005-8843-1044
Disclaimer
All claims expressed in this article are solely those of the authors and do not necessarily represent those of their affiliated organizations, or those of the publisher, the editors and the reviewers. Any product that may be evaluated in this article or claim that may be made by its manufacturer is not guaranteed or endorsed by the publisher.