Abstract
InstitutGeorges Lopez-2M (IGL-2M), a novel preservation solution containing polyethylene glycol (PEG 35kD, 5 g/L), preserves mitochondrial integrity and redox balance in liver grafts. This study assesses IGL-2M’s effect on lung preservation during prolonged cold ischemia. Rat’s heart-lung blocks were procured and subjected to 18 h cold ischemia (4 °C). Lungs were flushed and preserved using one of these preservation solutions: OCS, Perfadex Plus, IGL-2M (n = 6/group). Following ischemia, lungs underwent up to 7 h normothermic ex vivo lung perfusion. Edema was quantified by weight gain. Lung physiological parameters were recorded. Perfusate, bronchoalveolar lavage (BAL), and tissue samples were collected. All lungs in IGL-2M group completed 7 h EVLP protocol. Compared to OCS, IGL-2M reduced edema formation (p < 0.01), preserved superior compliance (p < 0.01), and maintained lower pulmonary vascular resistance (p < 0.01). IGL-2M showed lower perfusate concentrations of IL-1β (p < 0.05), IL-6 (p < 0.05), and TNF-α (p = 0.08). In BAL, IGL-2M reduced IL-1β (p < 0.01), IL-6 (p < 0.05), TNF-α (p < 0.01), and CXCL1 (p < 0.01). IGL-2M showed lower release of Syndecan-1 (p < 0.05). Compared to Perfadex Plus, IGL-2M was not inferior, with reduced expression of TNF-α in the perfusate (p < 0.05). IGL-2M effectively prevents edema development like Perfadex Plus. IGL-2M results in decreased inflammation and a stronger endothelial lining, making it a promising solution for lung preservation.
Graphical Abstract

Introduction
Ischemia–reperfusion injury (IRI) is one of the key challenges in lung transplantation and plays a pivotal role in the development of primary graft dysfunction (PGD), leading to early morbidity and mortality [1]. The sequence of ischemia during organ procurement, static cold storage, and subsequent reperfusion after implantation triggers a cascade of cellular and molecular events that culminate in tissue injury [2]. At the onset of ischemia, an imbalance between metabolic supply and demand disrupts epithelial and endothelial homeostasis, alters mitochondrial function, and induces ionic disequilibrium. Cold preservation further amplifies this process through the generation of reactive oxygen species (ROS), inflammatory cytokine release, microvascular injury, and epithelial barrier disruption, ultimately resulting in lung edema and PGD following reperfusion [3, 4].
A central element in IRI is the inflammatory response, which is amplified upon reperfusion. Pro-inflammatory cytokines such as IL-1β, IL-6 and TNF-α, play a key role by activating endothelial cells, promoting leukocyte adhesion, and increasing vascular permeability [5, 6]. Chemokines like CXCL1 further drive neutrophil recruitment, while dysregulation of anti-inflammatory mediators such as IL-10 contributes to an imbalance between pro- and anti-inflammatory signaling [7, 8]. This cytokine storm accelerates endothelial dysfunction, microcirculatory failure, and edema formation, ultimately impairing graft function, leading to PGD [9].
Progress in optimizing lung preservation remains limited. Current preservation solutions differ across centers but share common design principles: colloids to counteract cellular edema, buffers to stabilize pH, antioxidants to scavenge ROS, and metabolic precursors to support ATP regeneration [10, 11]. However, clinical outcomes indicate that existing solutions provide partial protection, and novel approaches are needed to better preserve vascular integrity and attenuate IRI, especially in the context of evolving lung preservation practices toward controlled hypothermic storage and prolonged preservation time [12].
One promising strategy involves the use of polyethylene glycol (PEG)-based preservation solutions. Institut Georges Lopez-2 (IGL-2®), with PEG 35 kDa at 5 g/L, has been shown to stabilize mitochondrial function, preserve redox balance, and reduce endothelial injury in experimental liver transplantation [13, 14].
The aim of this study is to evaluate whether a further modified PEG-based preservation solution IGL-2M improves lung preservation during prolonged cold ischemia compared to clinically used Organ Care System lung solution (OCS) and Perfadex Plus. The primary endpoint of the study is to assess the success rates of 7 h of EVLP and edema formation. We analyzed the effect on edema, inflammation, and endothelial injury, using a rat ex vivo lung perfusion (EVLP) model to mimic IRI.
Materials and Methods
Animals
Male Sprague-Dawley rats (350–400 g, Janvier Labs, France) received adequate care, and the study was performed after authorization by local Ethical Committee for Animal Experimentation (Ethische Commissie Dierproeven) (P128/2023).
Surgical Techniques
Rats were anesthetized with 5% isoflurane and maintained with 3% isoflurane during lung procurement. A tracheostomy was performed, followed by mechanical ventilation with rodent ventilator (R415VentStarSmallAnimalVentilator; RWD Life Science Co., Ltd. Guangdong, P.R. China). A tidal volume (TV) of 8 mL/kg, ventilatory rate (VR) of 70/min, positive end-expiratory pressure (PEEP) of 3cmH2O, and a fraction of inspired oxygen (FiO2) of 50% were applied. A laparotomy was performed, and 200U/kg heparin (LeoPharma, Denmark) was injected into abdominal caval vein followed by sternotomy with removal of thymus to gain access to the pulmonary artery (PA). Exsanguination was obtained by cutting abdominal caval vein. The PA (inflow) was cannulated through an incision in the right ventricular outflow tract, while left atrium (outflow) was cannulated through an incision in the apex of left ventricle and after dilatation of mitral valve. Cold pulmonary antegrade flush was performed using one of three preservation solutions (20cc at 4 °C): OCS, Perfadex Plus, IGL-2M and 500U heparin. After pulmonary flush, pneumonectomy was performed. Trachea was clamped at inspiration and transected. The heart-lung block was weighed, submerged in same cold preservation solution used for the flush, and stored for 18 h in a temperature-controlled cold room at 4 °C. A cold ischemic time of 18 h was chosen to establish a severe, robust and reproducible injury model that mimics ischemia reperfusion injury, thereby enabling discrimination between preservation solutions under extreme conditions, which would not be achievable with shorter cold ischemia times.
Ex-Vivo Lung Perfusion
Lungs were mounted on an isolated perfused lung system for rats (IPL-2 platform; Hugo-Sachs Elektronik, Germany). The ex vivo lung perfusion protocol used was inspired by the protocols employed in the research laboratories of Lausanne and Zurich [15, 16]. A 75 mL of acellular albumin-rich Steen solution (XVIVO, Sweden) at 7 °C was used as perfusate supplemented with 1 mL of diluted Tham Koler 3M. Flow-controlled perfusion was started at 1% of cardiac output (CO) and was increased to 7.5% CO at incremental steps within 20 min. Perfusate temperature was increased to 37 °C within 25 min. Volume-controlled ventilation was started after 20 min reperfusion time at a 3 mL/kg TV, 10/min VR, 21% FiO2 and 3cmH2O PEEP. TV was increased to 6 mL/kg and VR to 30/min after 30min. The perfusate was continuously deoxygenated through a membrane filter (D150, Medica, Italy) with a 12% CO2/6% O2/82% N2 sweep gas. A recruitment maneuver with a TV of 10 mL/kg was performed every hour, followed by 3min of ventilation at 100% FiO2 and subsequent gas analysis of inflow and outflow perfusate samples (ABL800 FLEX, Radiometer, Denmark). Differential perfusate pO2 (outflow-inflow) (ΔpO2) and outflow perfusate lactate levels were recorded.
Respiratory physiology data were measured and recorded using dedicated software (Pulmodyn HSE software, Germany). Pulmonary arterial pressure (PAP), pulmonary vascular resistance (PVR), and compliance were monitored. Left atrium pressure was set at 2-3 cmH2O. Hourly outflow perfusate samples (1 mL) were collected, immediately snap frozen in liquid nitrogen and stored at −80 °C.
EVLP protocol was continued for a total of 7h, unless massive edema impeding further ventilation forced a premature stop to prevent fluid from reaching the trachea, afterwards heart-lung block was weighed. Prolonged EVLP (7 h) was chosen to allow clear detection of inflammatory differences between groups. An EVLP model to mimic reperfusion, rather than a transplant model, was used to reduce animals required. Bronchoalveolar lavage (BAL) samples of 1 mL 0.9% NaCl were collected from right lower lobe and snap-frozen in liquid nitrogen. Left lobe was instilled and fixed with 4% formaldehyde (Avantor, U.S). Remaining lobes were snap-frozen in liquid nitrogen and stored at −80 °C (Figure 1A).
FIGURE 1

(A) Experimental protocol and ex vivo lung perfusion sampling. (B) Study groups; (C) Composition of preservation solutions. Information about OCS solution’s composition was found on the clinic bag that held the solution. Details about Perfadex Plus were found on XVIVOgroup website, and information about IGL-2M was provided by IGL-company. Created in https://BioRender.com.
Study Groups and Preservation Solutions
Cold pulmonary antegrade flush and static preservation were performed using one of three preservation solutions: OCS lung solution (TransMedics), Perfadex Plus (XVIVO), or IGL-2M (Institut Georges Lopez 2 modified) after unblinded randomization.
For each group (n = 6/group), the lungs were flushed with 20cc sterile preservation solution, pre-cooled to 4 °C, via pulmonary artery during procurement. Lungs were then preserved in the specific preservation solution at 4 °C for 18 h. After the preservation phase, EVLP was performed (Figure 1B). During EVLP, Steen solution (XVIVO, Sweden) was used as perfusate for all groups.
OCS lung solution is an FDA-cleared extracellular, low-potassium solution based on colloid Dextran 40 (50 g/L). It is used in clinics for normothermic perfusion and in our center for static cold preservation of donor lungs.
Perfadex Plus is a ready-to-use extracellular colloid-based (Dextran 40, 50 g/L) and is used by most lung transplant centers for cold flush and static preservation. Unlike OCS, Perfadex Plus is pre-buffered and pre-supplemented with calcium ions and THAM.
IGL-2M is a novel polyethylene glycol (PEG-35kDa) based extracellular preservation solution, representing a modified version of IGL-1 and IGL-2 with improved antioxidant and anti-inflammatory properties. Originally designed to offer protection for steatotic livers [17]. It has not been used in clinic (Figure 1C)
Perfusate Samples, Bronchoalveolar Lavage Samples, and Lung Tissue Analysis
For analysis of cytokines, a 50 μL volume of either perfusates collected at 7 h EVLP and BAL was assayed using Rat Procarta 6-plex Luminex assay (Thermo Fisher Scientific).
RNA was isolated from frozen tissue biopsies. 25mg of frozen tissue RNA from the upper, middle, lower, and accessory lobes was combined with a 3 mm tungsten carbide bead (Qiagen, Ref#69997) and 300 µL of Aurum™ RNA lysis buffer (Bio-Rad, Ref#7326820), then homogenized using a TissueLyser II (Qiagen). RNA extraction was performed with TRIzol™ Reagent (Thermo Fisher Scientific, Ref#15596026) following the manufacturer’s protocol, and the RNA phase was further purified using the Aurum™ Total RNA Mini Kit (Bio-Rad, Ref#7326820). The RNA concentration and purity were assessed using NanoDrop oneC (Thermo Fisher Scientific). c-DNA was synthesized from 200 ng RNA using Moloney Murine Leukemia Virus Reverse Transcriptase (M-MLV, Life Technologies, CA, USA). Next, the real-time qPCR reaction was performed on a LightCycler 96W system (Roche Diagnostics, Vilvoorde, Belgium) with Taqman Fast Universal PCR Master Mix and Taqman Gene Expression Assays IL-1β (Gene expression assay: Rn00580432_m1), IL-6 (Gene expression assay: Rn01410330_m1), TNF-α (Gene expression assay: Rn00562055_m1), NFKB (Gene expression assay: Rn01399572_m1), VCAM-1 (Gene expression assay: Rn00563627_m1), Bcl2 (Gene expression assay: Rn99999125_m1), Bcl2l1 (Gene expression assay: Rn00437783_m1), bax (Gene expression assay: Rn01480160_g1) and TaqMan® Fast Universal PCR Master Mix (Applied Biosystems®, Life Technologies, CA, USA). Thermocycling conditions consisted of an initial denaturation of 60s at 95 °C, followed by 45 cycles of 95 °C for 5s and 60 °C for 30s. Quantification of input target amount was analyzed by cycle threshold (Ct) value, the point at which the sample PCR amplification plot crosses the threshold. All data were normalized to GAPDH (Gene expression assay: Rn00562055_m1), and differences in gene expression were calculated as dCt values.
Lung Tissue Staining for Hyaluronan-Binding Protein
Paraffin-embedded sections were used for hyaluronic acid staining using a biotinylated hyaluronan binding protein (Sigma, 385911-50UG). Sections were baked at 65 °C and allowed to cool completely. Deparaffinization and dehydration were performed by sequentially immersing slides in xylene followed by a reducing ethanol gradient (100%, 95%, 70%, 50%). Slides were then washed once with distilled water before performing antigen retrieval (Target Retrieval Solution, Dako). Following incubation with protein blocking solution (TNB protein blocking solution) and endogenous biotin blocking (Biolegend) samples were incubated in solution containing hyaluronan binding protein (1/100) and αSMA-Cy3 antibody (1/400, Sigma, C6198) overnight with gentle rocking. Slides were washed three times with TNT Buffer (0.1M Tris.HCl (pH 7.5), 0.15M NaCl, 0.05% Tween®-20). To detect bound hyaluronan, slides were incubated in the dark with streptavidin conjugated to Alexa488 (1/400, Thermo Fisher Scientific) for 1 h. Slides were washed three times in TNT, counterstained with DAPI and mounted with ProLong™ Gold Antifade Mountant (Thermo Fisher Scientific). All steps were performed at room temperature.
Fluorescent images were taken with a Zeiss 700 M confocal microscope (×20 magnification). Per animal, 3-4 tiled regions were captured. Images were analyzed using ImageJ software (Fiji). First each channel underwent background subtraction. Image segmentation was achieved using Cy3 channel to identify αSMA positive vessels. Images were then binarized using the triangle algorithm for thresholding. The binary image was converted to a mask and Cy3+ve areas were eroded to remove small particles, remaining positive areas were then dilated to capture the areas surrounding vessels. The segmented image was used to define measured areas on 488-channel image by redirecting measurements and using the “Analyze Particles” function in ImageJ. Results per image were written to csv files analyzed in R4.5.1.
Statistics
Continuous physiology and weight data were reported as mean with SD. Edema was quantified by measuring difference in heart-lung block weight after vs. before EVLP. Repeated measurements were compared using 2-way analysis of variance (ANOVA). Static data were compared using one-way ANOVA. Statistical significance was assigned to a p < 0.05. GraphPad Prism Version 10.3.1 was used for all statistical analyses.
Results
IGL-2M Prevents Edema Development After Prolonged Static Cold Preservation
All six IGL-2M experiments reached 7 h EVLP. In Perfadex Plus group, 5/6 experiments reached 7 h EVLP while one experiment failed prematurely after 3 h due to massive edema. In OCS group 2/6 reached 7 h EVLP while 4 experiments failed prematurely after 0.25 h due to massive edema (p < 0.05) (Figure 2A).
FIGURE 2

Proportion of experiments developing edema. (A) 7 h ex vivo lung perfusion success rate. Log-rank test: p < 0.05. (B) Lung weight gain after ex vivo lung perfusion. Statistical analysis was performed using one-way ANOVA.
Weight difference between heart-lung block after vs. before EVLP was taken as indicator of edema development. Weight gain in IGL-2M group was lower compared to OCS (p < 0.01) and no significant difference was found compared to Perfadex Plus (p = 0.54) (Figure 2B).
IGL-2M Results in Stable Pulmonary Vascular Resistance and Results in Higher Pulmonary Compliance Compared to OCS
After 7 h EVLP, pulmonary vascular resistance remained stable and was lower in IGL-2M compared to OCS, which showed a worsening trend over time (p < 0.01) and Perfadex Plus (p < 0.05) (Figure 3A). Compliance was higher in IGL-2M than in OCS, which started with a lower value from the beginning (p < 0.01), with no difference compared to Perfadex Plus (p = 0.63) (Figure 3B). Pulmonary gas exchange was evaluated using perfusate ΔpO2, showing better oxygenation in IGL-2M than in OCS (p < 0.01) and no difference compared to Perfadex Plus (p = 0.21) (Figure 3C). Cellular damage was assessed by lactate levels in the effluent, with both IGL-2M and Perfadex Plus having lower lactate levels than OCS (p < 0.01) with a trend over time (Figure 3D).
FIGURE 3

Physiological data during 7 h ex vivo lung perfusion. (A) Pulmonary vascular resistance. (B) Pulmonary compliance. (C) Perfusate oxygenation (differential outflow minus inflow partial O2 pressure). (D) Outflow lactate levels. Statistical analysis was performed using two-way ANOVA.
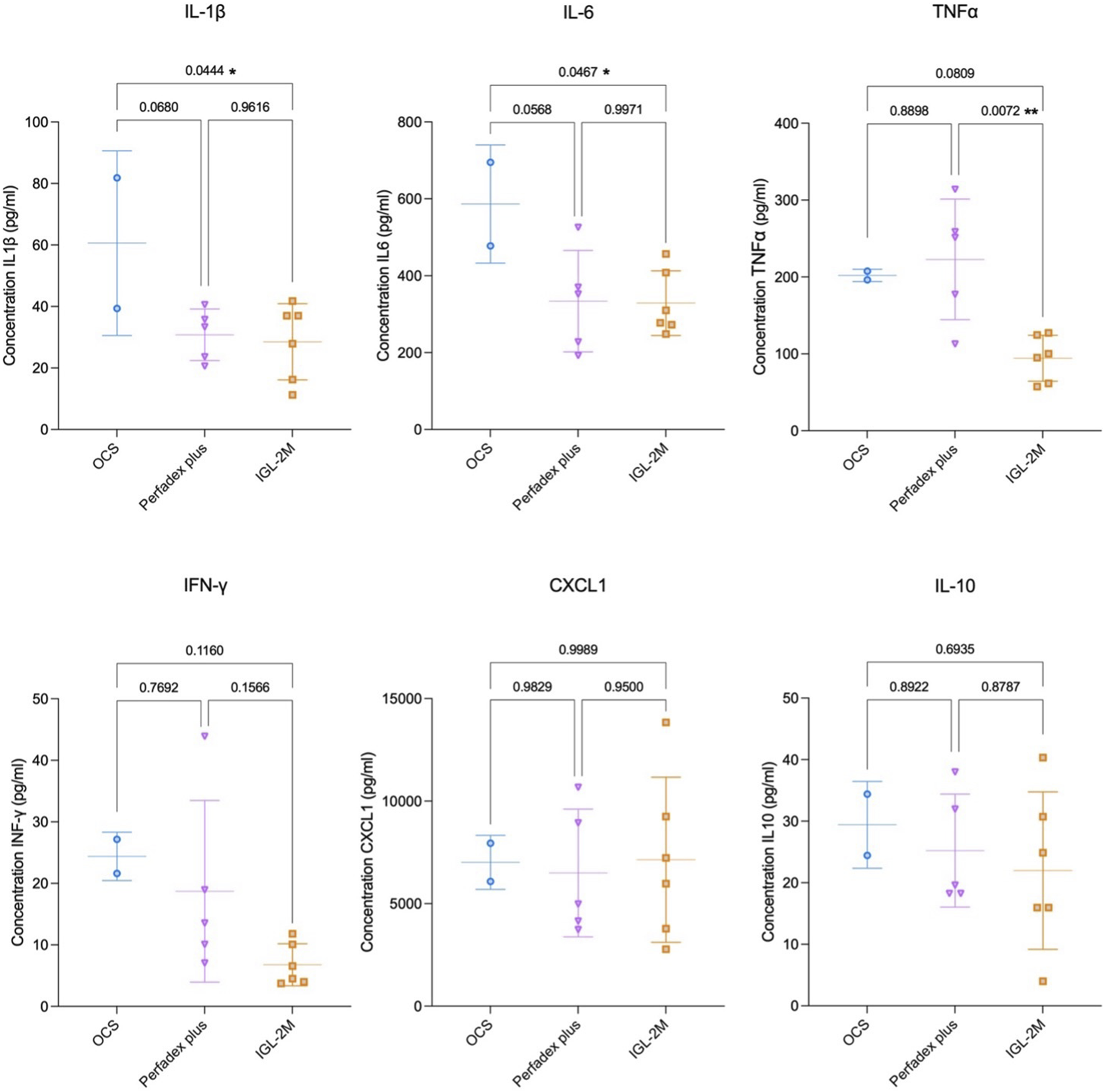
IGL-2M Results in a Limited Release of Inflammatory Biomarkers in the Perfusate
Perfusate samples collected after 7 h EVLP in IGL-2M showed lower concentrations of pro-inflammatory cytokines IL-1β (p < 0.05) and IL-6 (p < 0.05) compared to OCS, and no difference compared to Perfadex Plus (p = 0.96; p = 0.99). IGL-2M showed the lowest concentration of TNF-α (vs. OCS p = 0.08; vs. Perfadex plus p < 0.05). Compared to OCS, Perfadex Plus showed a trend towards lower inflammatory cytokine release (Figure 4).
FIGURE 4

Cytokine expression in the perfusate at 7 h of ex vivo lung perfusion. Data are plotted as effective concentrations (pg/mL). Statistical analysis was performed using one-way ANOVA.
IGL-2M Results in a Limited Release of Inflammatory Biomarkers in the Bronchoalveolar Lavage
BAL samples collected after 7 h EVLP in IGL-2M showed reduced release of pro-inflammatory cytokines IL-1β (p < 0.01); IL-6 (p < 0.01); TNF-α (p < 0.01); CXCL1 (p < 0.01) and anti-inflammatory cytokine IL-10 (p = 0.05) compared to OCS; and no difference for the same biomarkers compared to Perfadex Plus. Compared to OCS, Perfadex Plus showed reduced release of IL-1β (p < 0.05); IL-6 (p < 0.01); TNF-α (p < 0.01); CXCL1 (p < 0.01) and anti-inflammatory cytokine IL-10 (p < 0.01) (Figure 5).
FIGURE 5

Cytokine expression in the bronchoalveolar lavage samples at 7 h of ex vivo lung perfusion. Data are plotted as effective concentrations (pg/mL). Statistical analysis was performed using one-way ANOVA.
IGL-2M and Perfadex Plus Reduce Inflammation in Lung Tissue
Lung tissue analysis with RT-qPCR showed lower IL-6 gene expression (p < 0.05) in IGL-2M compared to OCS, with no difference compared to Perfadex Plus (p = 0.82). Compared to OCS, Perfadex Plus showed lower gene expression of IL-6 (p < 0.01); TNF-α (p < 0.05); VCAM-1 (p < 0.05) (Figure 6).
FIGURE 6

The mRNA expression of cytokines, transcription factor (NF-kB), adhesion molecule (VCAM-1) and proteins involved in the apoptotic signaling in the lung tissue were quantified relative to the housekeeping gene GAPDH after ex vivo lung perfusion. Statistical analysis was performed using one-way ANOVA.
IGL-2M Induces the Expression of Anti-apoptotic Gene
The anti-apoptotic Bcl2 gene expression was higher in IGL-2M (vs. OCS, p < 0.01) with no difference compared to Perfadex Plus (p = 0.31) (Figure 6).
Hyaluronan Associated With the Lung Endothelium Is Preserved With IGL-2M
Hyaluronan detected by biotinylated hyaluronan-binding protein was present in the adventitia of αSMA positive vessels, as well as in the bronchial and bronchiolar epithelium, in the region of the basement membrane. Hyaluronan levels were decreased in αSMA positive vessels across the groups (F (2, 14) = 4.384, p < 0.05). Lungs preserved with OCS showed reduced vascular hyaluronan levels as compared to IGL-2M preserved lungs (Figure 7, p < 0.05).
FIGURE 7

Vascular hyaluronan was quantified using the Hyaluronan Binding Protein (HABP), co-stained with α smooth muscle actin (αSMA), in the rat lung after ex vivo lung perfusion. (A) Median intensity of HABP signal around αSMA positive vessels. Smaller points represent median intensity values from individual images. Large circles represent the average intensity derived from the individual images obtained per animal. (B) representative image of binding protein (green) positive co-localized with αSMA (orange). Statistical analysis was performed using one-way ANOVA.
IGL-2M and Perfadex Plus Preserve Endothelial Glycocalyx Integrity Compared to OCS
Perfusate samples collected after 7 h EVLP in IGL-2M and Perfadex Plus showed lower concentrations of Syndecan-1 compared to OCS (p < 0.05; p < 0.01) (Figure 8).
FIGURE 8

Syndecan-1 expression in the perfusate at 7 h of ex vivo lung perfusion. Data are plotted as effective concentrations (pg/mL). Statistical analysis was performed using one-way ANOVA.
Discussion
This rat model of prolonged lung preservation assessed over 7 h EVLP shows for the first time that IGL-2M, a PEG-based preservation solution, can be successfully used to flush and preserve rat lungs subjected to prolonged cold ischemia of 18 h. Compared to OCS, IGL-2M markedly reduced edema formation, preserved pulmonary vascular resistance and compliance, improved oxygenation, reduced lactate release, and attenuated the inflammatory cytokine response. IGL-2M was not inferior to Perfadex Plus, the current gold standard, and showed an additional effect of TNF-α suppression.
PGD remains a leading cause of early morbidity and mortality after lung transplantation, with an incidence of 30%, largely driven by IRI. While IRI encompasses the cascade of cellular metabolic, inflammatory, and endothelial responses initiated by ischemia and reperfusion, PGD is the clinical manifestation characterized by pulmonary edema, hypoxemia, and impaired compliance [1]. One key feature of IRI is microvascular leakage secondary to endothelial barrier disruption, resulting in uncontrolled transvascular fluid and leukocyte extravasation [4, 18].
Controlled hypothermic storage (CHS) has been introduced in clinical practice, reshaping static lung preservation and allowing prolonged ischemic time [12, 19, 20]. Therefore, minimizing ischemic damage is a key area of investigation. One of the strategies to reduce IRI is to explore new preservation solutions, where the components should aim to prevent the inflammatory processes that typically start during preservation. Minimizing the inflammatory response to ischemia and strengthening endothelial barrier integrity are key therapeutic strategies for reducing IRI and decreasing the incidence of PGD. Our data show that lungs preserved with IGL-2M had less edema, lower expression of pro-inflammatory cytokines such as IL-1β, IL-6, TNF-α, and CXCL1, and reduced shedding of syndecan-1, supporting improved preservation of endothelial integrity compared to OCS.
The Perfadex Plus is the most widely used lung preservation solution [21], with OCS lung solution used in the context of portable normothermic perfusion [22]. Both solutions are dextran-based. Perfadex Plus is pre-buffered with THAM and supplemented with calcium, which stabilizes endothelial junctions and maintains contractile tone [23]. This likely explains the superior protection compared to OCS observed in our model, where lungs preserved with Perfadex Plus developed less edema and released lower levels of inflammatory mediators in perfusate, BAL, and tissue. On the other hand, IGL-2M replaces dextran with PEG 35kDa, adding anti-inflammatory, antioxidant, and membrane-stabilizing effects [24, 25]. Our data indicate that IGL-2M achieves similar preservation compared to Perfadex Plus, while showing an additional anti-inflammatory effect through TNF-α suppression.
Physiologically, IGL-2M-preserved lungs showed stable and lower pulmonary vascular resistance from the onset of reperfusion, whereas OCS-preserved lungs had a progressive rise in resistance during EVLP. Compliance followed a similar pattern, with better compliance in the IGL-2M group already at the start of reperfusion. These early differences suggest that lungs preserved with IGL-2M experienced less structural and molecular damage during ischemia, allowing for more favorable baseline function when reperfusion began. The vascular staining of HA is likely around veins and venules, both based on structure and previous reports [26]. HA is essential in controlling permeability, but also plays a structural role and affects inflammation [27]. PEG has been shown to stabilize endothelial junctions by promoting VE-cadherin clustering and reducing paracellular gap formation [28]. The protective role of PEG 35 kDa in IGL-2M is further supported by in vitro studies demonstrating up to a 125% increase in transendothelial electrical resistance (TEER), sustained for over 40 h, compared to the transient effects of other agents. PEG reduces paracellular permeability to FITC-dextran by more than fourfold [28]. Together, these cellular mechanisms likely explain the lack of edema, the immediate physiological stability during EVLP, the decreased vascular leak, lower pulmonary vascular resistance, and reduced inflammatory cytokine release observed in IGL-2M-preserved lungs.
IGL-2M showed an anti-inflammatory effect at multiple levels. Perfusate analysis demonstrated reduced IL-1β and IL-6 compared to OCS, while BAL samples showed lower release of IL-1β, IL-6, TNF-α, and CXCL1. These findings were corroborated by tissue analysis, where IL-6 expression was reduced, and Bcl2 expression increased, indicating anti-apoptotic signaling. Moreover, IGL-2M suppressed TNF-α release compared to both OCS and Perfadex Plus. TNF-α plays a central role in IRI by amplifying endothelial activation, promoting leukocyte adhesion, and driving vascular leak [5]. Its reduction in the IGL-2M group points to PEG-mediated modulation of intracellular signaling pathways, beyond colloid effects alone.
Whether this effect will translate into reduced rates of PGD in clinical transplantation remains to be determined.
Perfadex Plus also demonstrated clear anti-inflammatory effects compared to OCS, lower levels of IL-1β, IL-6, TNF-α, CXCL-1 and IL-10, consistent with its calcium supplementation. Calcium is essential for preserving endothelial and epithelial integrity by stabilizing adherens junctions. Perfadex Plus contains a modified dextran formulation with a lower viscosity and carefully balanced electrolyte/osmolarity profile, reducing the risk of vascular leak. This likely accounts for the lower edema and reduced cytokine release observed in the Perfadex Plus group. Thus, while both solutions limit inflammation and preserve function, they probably act through different mechanisms: calcium-mediated stabilization for Perfadex Plus and PEG-mediated for IGL-2M.
Our findings are consistent with prior studies in liver transplantation, where PEG-containing solutions have been shown to preserve mitochondrial function, redox balance, and endothelial glycocalyx integrity more effectively than traditional solutions [25, 29–32]. PEG has also demonstrated anti-inflammatory, immunosuppressive, and cell-membrane-stabilization effects in the setting of intestinal IRI, increasing with higher dose [33–36]. The reproducibility of PEG’s protective effects across organs suggests the feasibility of a universal preservation solution. A single PEG-based formulation for multiple organs could streamline procurement, simplify logistics, and expand the use of marginal donors.
This study has several limitations. Firstly, the high failure rate in the OCS group reduced the number of evaluable data points at the 7 h EVLP time point to only n = 2. This affects the statistical power, so the 7 h comparison should be interpreted with caution. However, this reflects the inability of OCS-preserved lungs to withstand prolonged cold ischemia followed by EVLP, resulting in edema and endothelial injury, which serve as important biological indicators of inferior preservation capacity under extended cold ischemia, rather than a technical failure. Secondly, 18 h of cold ischemia may exceed the tolerance of the OCS, potentially leading to early EVLP failure. However, this observation is indicative of solution-specific performance rather than a real limitation inherent to the study design. Third, direct visualization of endothelial glycocalyx integrity was not possible due to the experimental setup, as HA is only one component of the glycocalyx. Nonetheless, an ongoing transmission electron microscopy study will offer further evidence. Fourth, since this is a rodent model, caution is needed when translating findings to human lungs. Fifth, mechanistic studies were limited by the limitation of obtaining sequential tissue samples during ischemia and reperfusion. Nevertheless, the robust physiological, biochemical, and inflammatory data provide consistent evidence supporting the protective role of IGL-2M.
Conclusion
IGL-2M preserved lung function during prolonged cold ischemia at least as effectively as Perfadex plus, with additional anti-inflammatory benefits on TNF-α. Compared with OCS, IGL-2M limited edema formation and improved physiological stability. These findings justify further evaluation of IGL-2M in large animal models and provide a strong rationale for clinical translation, with the potential to establish a single PEG-based fluid as a universal organ preservation solution.
Statements
Data availability statement
The original contributions presented in the study are included in the article/supplementary material, further inquiries can be directed to the corresponding author.
Ethics statement
The animal study was approved by Local Ethical Committee for Animal Experimentation (Ethische Commissie Dierproeven) (P128/2023). The study was conducted in accordance with the local legislation and institutional requirements.
Author contributions
AB: conceptualization; data curation; formal analysis; investigation; methodology; writing-original draft; writing-review and editing. JS: conceptualization; methodology; writing-review and editing. CT: methodology; writing-original draft; writing-review and editing. PK: methodology; writing-original draft; writing-review and editing. CV: writing-review and editing. AM: methodology; writing-review and editing. XJ: writing-review and editing. NJ: methodology; writing-review and editing. BO: writing-review and editing. SC: methodology; writing-review and editing. DS: writing-review and editing. TW: methodology; writing-original draft; writing-review and editing. KM: methodology; writing-review and editing. SS: writing-review and editing AR: writing-review and editing. II: writing-review and editing. PL: writing-review and editing. BV: writing-review and editing. JP: writing-review and editing. EJ: investigation; methodology; writing-original draft; writing-review and editing. LC: conceptualization; formal analysis; investigation; project administration; writing-original draft; writing-review and editing. All authors contributed to the article and approved the submitted version.
Funding
The author(s) declared that financial support was received for this work and/or its publication. CT and EJ recognize the Human Frontiers Program (RGP015/2023) and Additional Ventures (1449617) for support of this research. LC is senior clinical investigator for FWO 18E2B24N.
Acknowledgments
The authors would like to thank all members of the Laboratory of respiratory diseases and thoracic Surgery (BREATHE) for their contribution.
Conflict of interest
JP and LC received an unrestricted University chair by IGL and IGL-2M preservation solution. LC received Perfadex plus and Steen solution from XVIVO.
The remaining author(s) declared that this work was conducted in the absence of any commercial or financial relationships that could be construed as a potential conflict of interest.
Generative AI statement
The author(s) declared that generative AI was used in the creation of this manuscript. During the preparation of this work the authors used ChatGPT (OpenAI) to improve readability and language. After using this tool, the authors reviewed and edited the content as needed and take full responsibility for the content of the publication.
Abbreviations
α-SMA, Smooth muscle actin; ATP, Adenosine triphosphate; BAL, Bronchoalveolar lavage; CHS, Controlled hypothermic storage; CO, Cardiac output; CXCL, Chemokine (C-X-C motif) ligand; EVLP, Ex vivo lung perfusion; FDA, Food and drug administration; FiO2, Fraction of inspired oxygen; HABP, Hyaluronan binding protein; IGL-2M, Institut Georges Lopez-2 modified; IL, Interleukin; IRI, Ischemia-reperfusion injury; OCS, Organ Care System lung solution; PA, Pulmonary artery; PAP, Pulmonary arterial pressure; PCR, Polymerase chain reaction; PEEP, Positive end-expiratory pressure; PEG, Polyethylene glycol; PGD, Primary graft dysfunction; PVR, Pulmonary vascular resistance; RNA, Ribonucleic acid; ROS, Reactive oxygen species; RT-qPCR, Reverse transcription quantitative polymerase chain reaction; SD, Standard deviation; TEER, Transendothelial electrical resistance; TNF-α, Tumor necrosis factor; TV, Tidal volume; VR, Ventilatory rate.
References
1.
Van SlambrouckJVan RaemdonckDVosRVanluytenCVanstapelAPrisciandaroEet alA Focused Review on Primary Graft Dysfunction After Clinical Lung Transplantation: A Multilevel Syndrome. Cells (2022) 11(4):745. 10.3390/cells11040745
2.
Van SlambrouckJLoopmansSPrisciandaroEBarbarossaAKortlevenPFeysSet alThe Effect of Rewarming Ischemia on Tissue Transcriptome and Metabolome Signatures: A Clinical Observational Study in Lung Transplantation. J Heart Lung Transpl (2024) 44:S1053249824019053. 10.1016/j.healun.2024.10.020
3.
PizanisNGillnerSKamlerMDe GrootHJakobHRauenU. Cold-Induced Injury to Lung Epithelial Cells Can Be Inhibited by Iron Chelators — Implications for Lung Preservation. Eur J Cardiothorac Surg (2011) 12:S1010794011001199–955. 10.1016/j.ejcts.2011.01.052
4.
TaHQKuppusamyMSonkusareSKRoeserMELaubachVE. The Endothelium: Gatekeeper to Lung Ischemia-Reperfusion Injury. Respir Res (2024) 25(1):172. 10.1186/s12931-024-02776-4
5.
KrishnadasanBNaiduBVByrneKFragaCVerrierEDMulliganMS. The Role of Proinflammatory Cytokines in Lung Ischemia-Reperfusion Injury. J Thorac Cardiovasc Surg (2003) 125(2):261–72. 10.1067/mtc.2003.16
6.
AliMHSchlidtSAChandelNSHynesKLSchumackerPTGewertzBL. Endothelial Permeability and IL-6 Production During Hypoxia: Role of ROS in Signal Transduction. Am J Physiol-Lung Cell Mol Physiol (1999) 277(5):L1057–65. 10.1152/ajplung.1999.277.5.L1057
7.
EppingerMJWardPABollingSFDeebGM. Regulatory Effects of Interleukin-10 on Lung Ischemia-Reperfusion Injury. Cardiovasc Surg (1996) 112(5):1301–5. 10.1016/S0022-5223(96)70144-7
8.
SharmaAKMulloyDPLeLTLaubachVE. NADPH Oxidase Mediates Synergistic Effects of IL-17 and TNF-α on CXCL1 Expression by Epithelial Cells After Lung Ischemia-Reperfusion. Am J Physiol-Lung Cell Mol Physiol (2014) 306(1):L69–79. 10.1152/ajplung.00205.2013
9.
DenHWAGielisJFLinJYVan SchilPEDe WindtLJMoensAL. Lung Ischemia-Reperfusion Injury: A Molecular and Clinical View on a Complex Pathophysiological Process. Am J Physiol-Heart Circ Physiol (2010) 299(5):H1283–99. 10.1152/ajpheart.00251.2010
10.
RanQZhangJZhongJLinJZhangSLiGet alOrgan Preservation: Current Limitations and Optimization Approaches. Front Med (2025) 12:1566080. 10.3389/fmed.2025.1566080
11.
LatchanaNPeckJRWhitsonBBlackSM. Preservation Solutions for Cardiac and Pulmonary Donor Grafts: A Review of the Current Literature. J Thorac Dis (2014) 6(8):1143–9. 10.3978/j.issn.2072-1439.2014.05.14
12.
ProvoostALNovysedlakRVan RaemdonckDVan SlambrouckJPrisciandaroEVanderveldeCMet alLung Transplantation Following Controlled Hypothermic Storage with a Portable Lung Preservation Device: First Multicenter European Experience. Front Cardiovasc Med (2024) 11:1370543. 10.3389/fcvm.2024.1370543
13.
Asong-FontemNPanisello-RoselloASebaghMGoninMRosello-CatafauJAdamR. The Role of IGL-2 Preservation Solution on Rat Livers During SCS and HOPE. Int J Mol Sci (2022) 23(20):12615. 10.3390/ijms232012615
14.
BardalloRGChulloGAlvaNRosello-CatafauJFundora-SuárezYCarbonellTet alMitigating Cold Ischemic Injury: HTK, UW and IGL-2 Solution’s Role in Enhancing Antioxidant Defence and Reducing Inflammation in Steatotic Livers. Int J Mol Sci (2024) 25(17):9318. 10.3390/ijms25179318
15.
WangXParapanovRDebonnevilleAWangYAbdelnour-BerchtoldEGonzalezMet alTreatment with 3-Aminobenzamide During Ex Vivo Lung Perfusion of Damaged Rat Lungs Reduces Graft Injury and Dysfunction After Transplantation. Am J Transpl (2020) 20(4):967–76. 10.1111/ajt.15695
16.
ArniSMaeyashikiTLatshangTOpitzIInciI. Ex Vivo Lung Perfusion with K(ATP) Channel Modulators Antagonize Ischemia Reperfusion Injury. Cells (2021) 10(9):2296. 10.3390/cells10092296
17.
BardalloRGDa SilvaRTCarbonellTFolch-PuyEPalmeiraCRoselló-CatafauJet alRole of PEG35, Mitochondrial ALDH2, and Glutathione in Cold Fatty Liver Graft Preservation: An IGL-2 Approach. Int J Mol Sci (2021) 22(10):5332. 10.3390/ijms22105332
18.
CardenDLGrangerDN. Pathophysiology of Ischaemia-Reperfusion Injury. J Pathol (2000) 190(3):255–66. 10.1002/(SICI)1096-9896(200002)190:3<255::AID-PATH526>3.0.CO;2-6
19.
NovysedlakRProvoostALLangerNBVan SlambrouckJBarbarossaACenikIet alExtended Ischemic Time (>15 Hours) Using Controlled Hypothermic Storage in Lung Transplantation: A Multicenter Experience. J Heart Lung Transpl (2024) 43(6):999–1004. 10.1016/j.healun.2024.02.006
20.
CenikIVan SlambrouckJProvoostALBarbarossaAVanluytenCBoelhouwerCet alControlled Hypothermic Storage for Lung Preservation: Leaving the Ice Age Behind. Transpl Int (2024) 37:12601. 10.3389/ti.2024.12601
21.
Sigvardsson. United States Patent Application Publication. In: Organ Preservation and/or Perfusion Solutions. US20180199566A1.
22.
OCSTM Lung Solution, Transmedics (2019). Available online at: https://www.transmedics.com/lung-solution/ (Accessed September 12, 2025).
23.
DaiCKhalilRA. Calcium Signaling Dynamics in Vascular Cells and Their Dysregulation in Vascular Disease. Biomolecules (2025) 15(6):892. 10.3390/biom15060892
24.
XuXPhilipJLRazzaqueMALloydJWMullerCMAkhterSA. High-Molecular-Weight Polyethylene Glycol Inhibits Myocardial Ischemia–Reperfusion Injury in vivo. J Thorac Cardiovasc Surg (2015) 149(2):588–93. 10.1016/j.jtcvs.2014.10.074
25.
ZaoualiMABejaouiMCalvoMFolch-PuyEPantaziEPasutGet alPolyethylene Glycol Rinse Solution: An Effective Way to Prevent Ischemia-Reperfusion Injury. World J Gastroenterol (2014) 20(43):16203–14. 10.3748/wjg.v20.i43.16203
26.
HellströmMJohanssonBEngström‐LaurentA. Hyaluronan and Its Receptor CD44 in the Heart of Newborn and Adult Rats. Anat Rec A Discov Mol Cell Evol Biol (2006) 288A(6):587–92. 10.1002/ar.a.20332
27.
HoarauAPoletteMCorauxC. Lung Hyaluronasome: Involvement of Low Molecular Weight Ha (Lmw-Ha) in Innate Immunity. Biomolecules (2022) 12(5):658. 10.3390/biom12050658
28.
ChiangETCampSMDudekSMBrownMEUsatyukPVZaborinaOet alProtective Effects of High-Molecular Weight Polyethylene Glycol (PEG) in Human Lung Endothelial Cell Barrier Regulation: Role of Actin Cytoskeletal Rearrangement. Microvasc Res (2009) 77(2):174–86. 10.1016/j.mvr.2008.11.007
29.
PasutGPaniselloAFolch-PuyELopezACastro-BenítezCCalvoMet alPolyethylene Glycols: An Effective Strategy for Limiting Liver Ischemia Reperfusion Injury. World J Gastroenterol (2016) 22(28):6501–8. 10.3748/wjg.v22.i28.6501
30.
BejaouiMPantaziECalvoMFolch-PuyESerafínAPasutGet alPolyethylene Glycol Preconditioning: An Effective Strategy to Prevent Liver Ischemia Reperfusion Injury. Oxid Med Cell Longev (2016) 2016(1):9096549. 10.1155/2016/9096549
31.
LopezAPanisello-RoselloACastro-BenitezCAdamR. Glycocalyx Preservation and NO Production in Fatty Livers—The Protective Role of High Molecular Polyethylene Glycol in Cold Ischemia Injury. Int J Mol Sci (2018) 19(8):2375. 10.3390/ijms19082375
32.
PaniselloRATeixeiraDSRCastroCBardallo RGCalvoMFolch-PuyEet alPolyethylene Glycol 35 as a Perfusate Additive for Mitochondrial and Glycocalyx Protection in HOPE Liver Preservation. Int J Mol Sci (2020) 21(16):5703. 10.3390/ijms21165703
33.
CanovaiEOlteanMHerleniusGAkyürekLMTrentadueGDijkstraGet alIGL‐1 as a Preservation Solution in Intestinal Transplantation: A Multicenter Experience. Transpl Int (2020) 33(8):963–5. 10.1111/tri.13625
34.
OlteanMJoshiMBjörkmanEOlteanSCasselbrantAHerleniusGet alIntraluminal Polyethylene Glycol Stabilizes Tight Junctions and Improves Intestinal Preservation in the Rat. Am J Transpl (2012) 12(8):2044–51. 10.1111/j.1600-6143.2012.04067.x
35.
SøftelandJMBaggeJPadmaAMCasselbrantAZhuCWangYet alLuminal Polyethylene Glycol Solution Delays the Onset of Preservation Injury in the Human Intestine. Am J Transpl (2021) 21(6):2220–30. 10.1111/ajt.16418
36.
ClarysseMAccarieAPanisello-RosellóAFarréRCanovaiEMonbaliuDet alIntravenous Polyethylene Glycol Alleviates Intestinal Ischemia-Reperfusion Injury in a Rodent Model. Int J Mol Sci (2023) 24(13):10775. 10.3390/ijms241310775
Summary
Keywords
endothelial glycocalyx, ischemia-reperfusion injury, lung preservation, polyethylene glycol (PEG), preservation solution
Citation
Barbarossa A, Van Slambrouck J, Trivett C, Kortleven P, Vanluyten C, Medina AM, Jin X, Jannis N, Özsoy B, Claes S, Schols D, Wylin T, Moermans K, Stegen S, Rosello AP, Inci I, De Leyn P, Vanaudenaerde B, Pirenne J, Jones EAV and Ceulemans LJ (2026) Institut Georges Lopez-2M as a Novel Lung Preservation Solution Attenuates Ischemia-Reperfusion Injury in a Rat Ex Vivo Lung Perfusion Model . Transpl. Int. 39:15993. doi: 10.3389/ti.2026.15993
Received
03 December 2025
Revised
20 January 2026
Accepted
28 January 2026
Published
19 February 2026
Volume
39 - 2026
Updates
Copyright
© 2026 Barbarossa, Van Slambrouck, Trivett, Kortleven, Vanluyten, Medina, Jin, Jannis, Özsoy, Claes, Schols, Wylin, Moermans, Stegen, Rosello, Inci, De Leyn, Vanaudenaerde, Pirenne, Jones and Ceulemans.
This is an open-access article distributed under the terms of the Creative Commons Attribution License (CC BY). The use, distribution or reproduction in other forums is permitted, provided the original author(s) and the copyright owner(s) are credited and that the original publication in this journal is cited, in accordance with accepted academic practice. No use, distribution or reproduction is permitted which does not comply with these terms.
*Correspondence: Laurens J. Ceulemans, laurens.ceulemans@uzleuven.be
Disclaimer
All claims expressed in this article are solely those of the authors and do not necessarily represent those of their affiliated organizations, or those of the publisher, the editors and the reviewers. Any product that may be evaluated in this article or claim that may be made by its manufacturer is not guaranteed or endorsed by the publisher.