Abstract
Hyperhidrosis, defined as excessive sweating beyond physiological needs. It impairs the quality of life (QOL) of patients. While there are many studies on the relationship between sweating and skin diseases, however few studies have been conducted from epidemiological perspective of hyperhidrosis on coexisting skin diseases. This study aimed to investigate the prevalence, severity, affected areas, and treatment history of hyperhidrosis among patients with skin diseases. An anonymous, self-report questionnaire was administered to 1,000 patients at the department of dermatology, Gunma University Hospital between June and August 2022, yielding 885 responses (88.5%). Hyperhidrosis was defined using the Hornberger’s diagnostic criteria, and severity was assessed by the Hyperhidrosis Disease Severity Scale (HDSS). The overall prevalence of hyperhidrosis among this skin disease patient cohort was 22.4% (n = 198), which was higher than the rate previously reported in Japan (10%–12.8%). Patients with hyperhidrosis were significantly younger (mean age 51.3 years) than those without (mean age 57.2 years; p < 0.01). Over half (54.3%) of affected patients reported severe or very severe symptoms (HDSS 3 or 4). The most common affected sites were the head/face (15.1%), followed by the axillary (8.7%). The prevalence was high in inflammatory skin diseases, with 29.2% of Atopic Dermatitis (AD) patients, 17.7% of psoriasis patients, and 7.1% of Alopecia Areata (AA) patients also having hyperhidrosis. Despite the high prevalence and severity, only a small fraction of hyperhidrosis patients (7.9%) reported a history of treatment. These findings suggest that hyperhidrosis is a common complication in skin disease. This high prevalence may be attributable to compensatory sweating caused by primary skin diseases. To improve patient’s QOL, dermatologists should actively screen for hyperhidrosis and combine sweat management with skin disease treatment.
Introduction
Hyperhidrosis is a condition of excessive sweating beyond physiological needs for thermoregulation [1]. It is classified as primary hyperhidrosis, which arises without underlying systemic disease, and secondary hyperhidrosis, which occurs in association with endocrinological, neurological, infectious, or medication-related disorders [2].
The accurate etiology of primary hyperhidrosis has not well understood [3]. Reported prevalence varies by region and methodology, ranging from approximately 0.07% to over 16% globally [4, 5]. The prevalence of primary focal hyperhidrosis in Japan has been reported as 10 or 12.8% [6, 7]. Patients with severe symptoms were estimated to be approximately 616,000 for primary palmar hyperhidrosis and 2,239,000 for primary axillae hyperhidrosis in Japan. However, only 6.2% of the patients had visited medical institutions and few patients take appropriate treatment even after visiting the hospital [6].
Although not life threatening, hyperhidrosis imposes a significant burden on patients’ lives. Hyperhidrosis affects multiple life domains including psychological wellbeing, interpersonal relationships, daily activities, and professional performance [8]. Hyperhidrosis leads to a decline in quality of life (QOL).
Furthermore, there are many studies on the relationship between sweating and skin diseases such as atopic dermatitis (AD), however few studies have been conducted from epidemiological perspective of hyperhidrosis on coexisting skin diseases. Elucidating the relationship between hyperhidrosis and coexisting skin diseases may contribute to improving patients’ skin conditions and QOL.
Therefore, this study aims to investigate the prevalence of hyperhidrosis among patients with skin diseases, and also discusses the severity of hyperhidrosis, differences across skin diseases, its impact on daily life, and treatment history.
Materials and methods
Subjects
We created an anonymous questionnaire about hyperhidrosis that was shown in Figure 1. This survey was administered to all patients who visited dermatology department of Gunma university hospital between June 2022 and August 2022. The researcher explained the questionnaire and handed it out to those who accepted to answer. We ended up distributing questionnaires to 1,000 patients.
FIGURE 1

Is the outline of the present study. The population consisted of the patients who completed the questionnaire responses. We compared age, gender, and coexisting skin diseases between the hyperhidrosis group and the non-hyperhidrosis group. For the hyperhidrosis group, we also analyzed affected body areas, severity, onset age, and treatment history. Subsequently, we conducted detailed analyses of psoriasis, atopic dermatitis, and alopecia areata, which had high coexistence rates.
Patients who refused to answer the questionnaire, infants, and cognitively impaired patients who would have had difficulty completing the questionnaire were excluded.
Ethical considerations
This study was approved by Gunma University Ethical Review Board for Medical Research Involving Human Subjects (receipt No. HS2022-031, 23 May 2022). This study was carried out after explaining the purpose of the study to each participant. The questionnaire was anonymous and responses to this were considered consent.
Contents of the questionnaire
Respondents answered the questionnaire (Supplementary Figure S1). Those who answered “yes” to Q1 proceed to the Q2 and Q4. We determine the patients had hyperhidrosis or not by comparing the results of these questions to Hornberger’s diagnostic criteria of primary focal hyperhidrosis [2].
We assessed the severity of hyperhidrosis using Hyperhidrosis Disease Severity Scale (HDSS). Respondents choose the degree of their sweating symptoms (Supplementary Figure S1Q5). In addition, Numerical Rating Scale (NRS) was measured for the degree of disability and discomfort in daytime activities caused by sweating (Supplementary Figure S1Q7).
The questionnaire also included questions about troubled episodes, most uncomfortable season, the frequency of worrying about sweat, the history of treatment, the knowledge about treatment, and the problems with sweat odor (Supplementary Figure S1Q3, 6, 8–11).
Statistical analysis
We counted the number of patients who met the diagnostic criteria for primary focal hyperhidrosis. The number of each patient diagnosed with hyperhidrosis was summarized in terms of age, gender, area and severity of hyperhidrosis, onset age of hyperhidrosis, complicated skin disease, and treatment history. Complication diseases were categorized by psoriasis, AD, collagenic disease, AA, malignant skin tumor, eczema, others, and unanswered. AD, psoriasis, and AA which were complicated frequently were also tabulated separately. Collagenic disease was excluded because of the suspicion of steroid-induced secondary hyperhidrosis. The parts of hyperhidrosis were listed for head-face, axilla, palmoplantar. The prevalence was calculated by each group.
The chi-square test was used to compare prevalence rates and gender ratios between groups. T-test was used to compare mean age or severity score between two groups. Odds ratios for hyperhidrosis and each complication disease were determined using Fisher’s exact test.
Results
Outline of the results of the questionnaire for all
We gave the questionnaire to 1,000 patients and received the answer from 885 (88.5%). The number of patients who complete the criteria of hyperhidrosis were 198 (22.4%) (Figure 1). The male-female ratio was 1:1.35. It was significantly more common in females (P < 0.01) (Figure 2A). Figure 2B shows the age distribution for the entire patient population, and for patients with or without hyperhidrosis. The mean age of patients with hyperhidrosis (51.3 years, SD 15.8) was significantly lower than that of patients without hyperhidrosis (57.2 years, SD 19.1; p < 0.01).
FIGURE 2

Gender (A) and age (B) of all patients who answered the questionnaire.
The prevalence rate of hyperhidrosis in each part was 15.1% in head and face, 8.7% in axillary, and 4.6% in palmar and plantar, respectively. The onset of hyperhidrosis in the head and face typically occurred in adulthood (32.2 years, SD 17.7), whereas onset in the palmar and plantar occurred during childhood (13.3 years, SD 9.1) (Table 1).
TABLE 1
| | Number of patients | Prevalence rate | Mean age of onset |
|---|---|---|---|
| Head and face | 134 | 15.1% (134/885) | 32.2 (SD 17.7) |
| Axillary | 77 | 8.7% (77/885) | 22.7 (SD 14.4) |
| Palmar and plantar | 41 | 4.6% (41/885) | 13.3 (SD 9.1) |
The number of patients, prevalence rate, and mean age of onset for each affected area (head and face, axillary, palmar and plantar) among all hyperhidrosis patients.
The prevalence of axillary hyperhidrosis was significantly higher among women (p = 0.02). No gender differences were observed in the prevalence of head/face or palmar/plantar hyperhidrosis (Figure 3A). Moreover, when comparing patients aged ≧40 years with those aged <40 years, the prevalence of head/face hyperhidrosis was significantly higher in the older group (p = 0.01). In contrast, the prevalence of palmar/plantar hyperhidrosis was significantly lower in the older group (p < 0.01), with a mean age at onset as early as 13.3 years (SD 9.1). No age-related differences were observed in the prevalence of axillary hyperhidrosis (Figure 3B).
FIGURE 3

Gender (A) and age (B) of each affected area (head and face, axillary, palmar and plantar) among all hyperhidrosis patients.
The aggregate results of HDSS were shown in Figure 4. Over half (54.3%) of the patients complained HDSS 3 or 4, which was considered severe or very severe. No significant difference was seen between head-face, axillary, and palmar-plantar groups in the percentage of patients with HDSS 3 or 4.
FIGURE 4

Hyperhidrosis Disease Severity Scale (HDSS) for all hyperhidrosis patients or by body region (head and face, axillary, and palmar and plantar).
In the assessment of sweat-related discomfort on QOL using NRS, the mean score for all patients with hyperhidrosis was 5.87 (SD 2.46).
Next, when we asked about the season during which sweating was perceived as most uncomfortable, most respondents indicated summer (65.2%), followed by all year round (31.3%) (Figure 5). In addition, it was found that only a small number of patients either knew that hyperhidrosis was treatable (13.4%) or had received treatment for them (7.9%).
FIGURE 5

Survey results on seasons when sweating feels uncomfortable (multiple choices allowed).
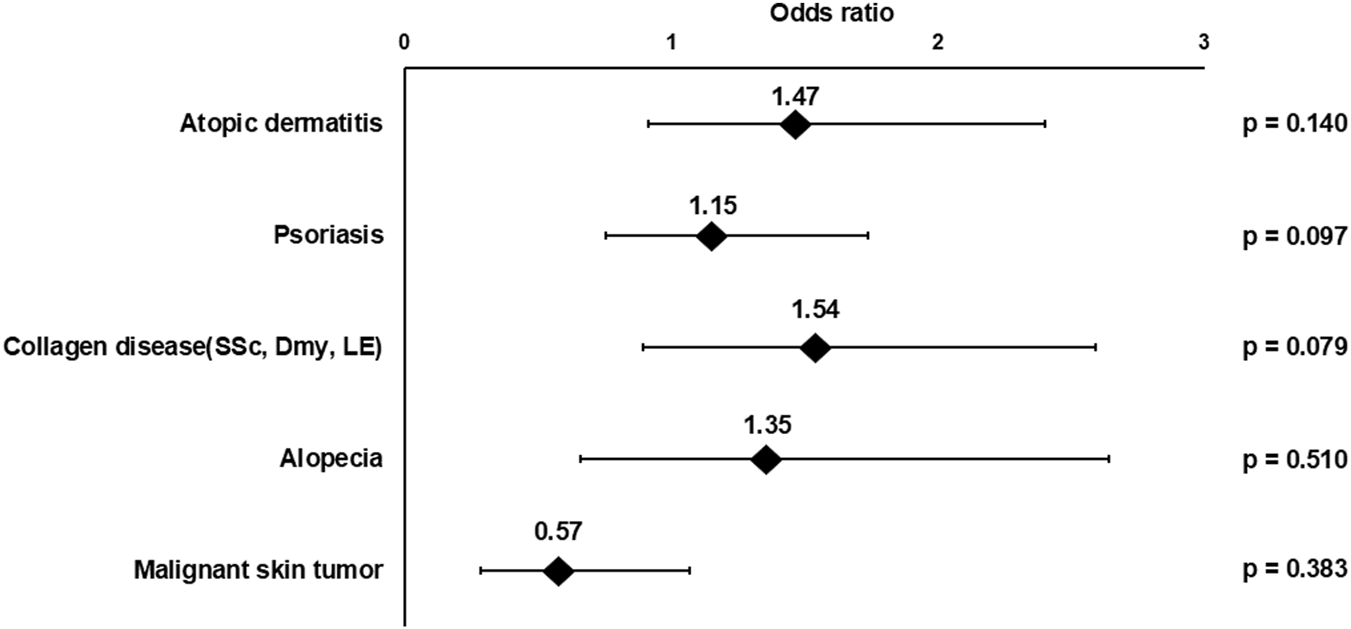
Finally, the most common skin diseases complicated with patients with hyperhidrosis were psoriasis, AD, collagen disease (Systemic lupus erythematosus; SLE, Dermatomyositis; DM, Systemic sclerosis; SSc), AA, malignant skin tumor, eczema in the order (Figure 6). The number and prevalence of hyperhidrosis patients in each disease were as follows. Psoriasis; 35 patients (17.7%), AD; 26 patients (13.1%), collagen disease; 25 patients (12.6%), AA; 14 patients (7.1%), malignant skin tumor; 13 patients (6.6%), and eczema; 8 patients (4.0%). The diseases found in only one or two patients were classified as “others”. There are no significant differences in odds ratios for each disease and hyperhidrosis (Figure 7).
FIGURE 6

The number and percentage of complicated skin diseases with hyperhidrosis. The denominator of the percentage is the total number of hyperhidrosis patients. SLE, systemic lupus erythematosus; DM, dermatomyositis; SSc, systemic sclerosis.
FIGURE 7

Fisher’s exact statistical analysis results and odds ratios for hyperhidrosis risk associated with atopic dermatitis, psoriasis, collagen diseases, alopecia, and malignant skin tumors.
Inflammatory skin diseases and hyperhidrosis
We performed individual statistics on inflammatory skin diseases such as psoriasis, AD, and AA, that were frequently associated with hyperhidrosis (Figure 6). The male-female ratio, and age of hyperhidrosis in each disease are summarized in Figures 8, 9. The number of patients and prevalence rates for hyperhidrosis by location (head and face, axillary, palmar and plantar) and total in AD, psoriasis, and AA were summarized in Table 2.
FIGURE 8

Gender of atopic dermatitis (A), psoriasis (B), and alopecia areata (C) patients who responded to the questionnaire. AD, atopic dermatitis; AA, alopecia areata.
FIGURE 9

Age of atopic dermatitis (A), psoriasis (B), and alopecia areata (C) patients who responded to the questionnaire. AD, atopic dermatitis; AA, alopecia areata.
TABLE 2
| | Number of patients | Prevalence rate |
|---|---|---|
| Atopic dermatitis | ||
| Head and face | 18 | 20.2% (18/89) |
| Axillary | 7 | 7.9% (7/89) |
| Palmar and plantar | 6 | 6.7% (66/89) |
| Total | 26 | 29.2% (26/89) |
| Psoriasis | ||
| Head and face | 25 | 17.7% (134/141) |
| Axillary | 14 | 9.9% (14/141) |
| Palmar and plantar | 10 | 7.1% (10/141) |
| Total | 35 | 24.8% (35/141) |
| Alopecia areata | ||
| Head and face | 10 | 20.0% (10/50) |
| Axillary | 8 | 16.0% (8/50) |
| Palmar and plantar | 4 | 8.0% (4/50) |
| Total | 14 | 28.0% (14/50) |
The number of patients, and prevalence rate for each affected area (head and face, axillary, and palmar and plantar) among atopic dermatitis, psoriasis, and alopecia areata patients.
In AD, the male-to-female ratio was 1:1.17 among patients with hyperhidrosis and 1:0.55 among those without, indicating a tendency toward female predominance, although the difference was not statistically significant (P = 0.109) (Figure 8A). In psoriasis, the ratios were 1:0.52 and 1:0.56, respectively, showing no apparent sex difference (Figure 8B). In AA, the ratios were 1:1.8 and 1:1.4, respectively, with no significant difference observed (Figure 8C). Thus, a female predominance was noted in AD and AA, whereas psoriasis showed a balanced distribution between sexes.
The mean age of AD patients with hyperhidrosis (42.0 years, SD 15.5) did not differ from those without (42.3 years, SD 18.6) (Figure 9A). In psoriasis, patients with hyperhidrosis (51.6 years, SD 13.7) were significantly younger than those without (59.8 years, SD 16.5, p = 0.017) (Figure 9B). In AA, no significant age difference was found between patients with (43.7 years, SD 17.5) and without hyperhidrosis (39.9 years, SD 22.1) (Figure 9C).
In AD, the most frequently affected sites were the head and face (20.2%), followed by the axillae (7.9%), and the palmar and plantar (6.7%). A similar pattern was observed in psoriasis (head/face: 17.7%, axillae: 9.9%, palms/soles: 7.1%). In AA, the head and face were also the most commonly affected sites (20.0%); however, axillary involvement (16.0%) was relatively more frequent than in AD and psoriasis, followed by the palmar and plantar (8.0%) (Table 2). Therefore, the head and face represented the predominant site across all three diseases, while AA was characterized by a higher prevalence of axillary hyperhidrosis compared with AD and psoriasis.
In comparison among AD, psoriasis, and AA, the percentages of patients who reported HDSS 3 or higher were 50%, 65.7%, and 35.7% (Figure 10).
FIGURE 10

The number of patients and percentage by Hyperhidrosis Disease Severity Scale (HDSS) for patients with atopic dermatitis, psoriasis, and alopecia areata.
Discussion
The prevalence of primary focal hyperhidrosis in Japan has been reported as 10 or 12.8% [6, 7]. In this study, the overall prevalence of hyperhidrosis among patients with skin diseases was 22.4%. This is higher than previously reported prevalence rates in Japan. Regarding symptoms by body region, the prevalence rate of 15.1% for the head and face in our study was higher than that reported in previous studies, such as 3.6 or 4.7% [6, 7]. No marked differences were observed for the axillary or palmar and plantar between our study and previous report [6, 7]. The prevalence of axillary (8.7%) and palmar and plantar (4.6%) hyperhidrosis in patients with skin diseases showed no marked difference compared to past reports (axillary; 5.75 or 5.9%, palmar; 5.33 or 2.9%, plantar; 2.79 or 2.3%) [6, 7]. The elevated prevalence of hyperhidrosis observed in patients with skin diseases may reflect the contribution of the dermatological conditions themselves. In addition, the relatively older age of the study population compared with previous reports suggests that age-related increases in prevalence may also have contributed.
AD is a chronic inflammatory skin disease characterized by dry, pruritic, and inflamed skin [9]. It is known that patients with AD have decreased the sweat volume [10]. Improvement in sweat volume is associated with a reduction in the severity of atopic dermatitis.
Sweat has multiple roles in the skin, including providing natural moisturizing factors, contributing to the innate host defense through antimicrobial peptides, and inactivating allergens. However, prolonged exposure of the skin surface to constant humidity may lead to occlusion of sweat pores by keratin plugs. In AD, the expression of claudin-3, which involved in maintaining the water barrier of sweat glands, was significantly reduced compared with healthy skin. Leakage of sweat into surrounding tissues is thought to contribute to painful pruritus during sweating and to the persistence of inflammation [11]. Furthermore, localized hypohidrosis or inflammation around sweat glands in certain regions may lead to compensatory hyperhidrosis in other unaffected areas. Thus, in AD, depending on the patient’s skin condition, both hyperhidrosis and hypohidrosis may be observed.
Our survey revealed that 29.2% of AD patients also had hyperhidrosis. This indicates that to improve the QOL for more atopic dermatitis patients, it is necessary to consider controlling not only dry skin, and inflammation but also excessive sweating.
In psoriasis, active psoriatic lesions are anhidrotic until the lesions are healed clinically. Sweat retention on in psoriasis is due to closure of the epidermal portion of the sweat duct by parakeratotic plugging and by obliteration [12].
In AA, patients showed a significant decrease in activated sweat-gland number and function on the dorsum of the hand and foot compared to matched controls [13].
In psoriasis or AA, reduced sweating at inflamed skin sites or other body regions is possibly associated with compensatory hyperhidrosis in unaffected areas, although many aspects of this mechanism remain unclear.
Furthermore, considering that few patients (7.9%) have a history of hyperhidrosis treatment, it is important to combine treatment for skin disease with the latest effective hyperhidrosis treatments, such as topical anticholinergic agents.
Additionally, regarding the prevalence of hyperhidrosis in AD, while the p-value (0.14) may indicate limited statistical reliability, considering this study is observational, the odds ratio (1.47) suggests a tendency toward higher prevalence. Moreover, given that the mean age of patients without hyperhidrosis was higher than that of those with hyperhidrosis, the low odds ratio of 0.57 for malignant skin tumors is likely attributable to the higher proportion of older people in this group compared with other diseases (Figure 3).
This study has several limitations. First, as it was conducted at a university hospital, selection bias is unavoidable. Most participants had concomitant dermatologic conditions, and many were using topical or systemic medications that could influence sweating patterns. These characteristics differ from those of the general population and may have contributed to the higher prevalence observed. In addition, our survey methodology differed from that of previous studies, which may have affected the sensitivity of hyperhidrosis detection. Second, although Hornberger’s criteria were applied to identify hyperhidrosis, our study design could not fully exclude secondary hyperhidrosis related to underlying skin inflammation, psychological stress, or treatments. Third, the self-administered questionnaire relied on self-report, raising the risk of misclassification. Finally, it remains unclear whether treating hyperhidrosis improves skin symptoms. Despite these limitations, the results of this study provide clinically meaningful insights into hyperhidrosis among dermatologic patients. Future studies incorporating stricter exclusion criteria and objective physiological assessments of sweating are warranted.
Statements
Data availability statement
The original contributions presented in the study are included in the article/Supplementary Material, further inquiries can be directed to the corresponding author.
Ethics statement
This study was approved by Gunma University Ethical Review Board for Medical Research Involving Human Subjects (receipt No. HS2022-031, 23 May 2022). This study was carried out after explaining the purpose of the study to each participant. The questionnaire was anonymous and responses to this were considered consent.
Author contributions
KK, AU, MI, and SM conducted KK conducted a questionnaire survey of the patients. KK and AU performed the statistical analysis. KK, AU, and SM wrote the paper and prepared the figures and tables. All authors contributed to the article and approved the submitted version.
Funding
The author(s) declared that financial support was received for this work and/or its publication. This study was supported by a research grant obtained through donations.
Acknowledgments
We would like to express our sincere gratitude to all staff members for their dedicated efforts in conducting this survey.
Conflict of interest
The author(s) declared that this work was conducted in the absence of any commercial or financial relationships that could be construed as a potential conflict of interest.
Generative AI statement
The author(s) declared that generative AI was not used in the creation of this manuscript.
Any alternative text (alt text) provided alongside figures in this article has been generated by Frontiers with the support of artificial intelligence and reasonable efforts have been made to ensure accuracy, including review by the authors wherever possible. If you identify any issues, please contact us.
Supplementary material
The Supplementary Material for this article can be found online at: https://www.frontierspartnerships.org/articles/10.3389/jcia.2026.15800/full#supplementary-material
References
1.
LeungAKChanPYChoiMC. Hyperhidrosis. Int J Dermatol (1999) 38(8):561–7. 10.1046/j.1365-4362.1999.00609.x
2.
HornbergerJGrimesKNaumannMGlaserDALoweNJNaverHet alRecognition, diagnosis, and treatment of primary focal hyperhidrosis. J Am Acad Dermatol (2004) 51(2):274–86. 10.1016/j.jaad.2003.12.029
3.
OshimaYFujimotoTNomotoMFukuiJIkomaA. Hyperhidrosis: a targeted literature review of the disease burden. J Dermatol (2023) 50(10):1227–36. 10.1111/1346-8138.16908
4.
HasimotoENCataneoDCReisTADCataneoAJM. Hyperhidrosis: prevalence and impact on quality of life. J Bras Pneumol (2018) 44(4):292–8. 10.1590/S1806-37562017000000379
5.
GabesMJourdanCSchrammKMasurCAbelsCKamudoniPet alHyperhidrosis quality of life index (HidroQoL©): further validation and clinical application in patients with axillary hyperhidrosis using data from a phase III randomized controlled trial. Br J Dermatol (2021) 184(3):473–81. 10.1111/bjd.19300
6.
FujimotoTKawaharaKYokozekiH. Epidemiological study and considerations of primary focal hyperhidrosis in Japan: from questionnaire analysis. J Dermatol (2013) 40(11):886–90. 10.1111/1346-8138.12258
7.
FujimotoTInoseYNakamuraHKikukawaY. Questionnaire-based epidemiological survey of primary focal hyperhidrosis and survey on current medical management of primary axillary hyperhidrosis in Japan. Arch Dermatol Res (2023) 315(3):409–17. 10.1007/s00403-022-02365-9
8.
HammH. Impact of hyperhidrosis on quality of life and its assessment. Dermatol Clin (2014) 32(4):467–76. 10.1016/j.det.2014.06.004
9.
ChuDKKoplinJJAhmedTIslamNChangCLLoweAJ. How to prevent atopic dermatitis (Eczema) in 2024: theory and evidence. J Allergy Clin Immunol Pract (2024) 12(7):1695–704. 10.1016/j.jaip.2024.04.048
10.
SaekiHOhyaYArakawaHIchiyamaSKatsunumaTKatohNet alExecutive summary: japanese guidelines for atopic dermatitis (ADGL) 2024. Allergol Int (2025) 74(2):210–21. 10.1016/j.alit.2025.01.003
11.
MurotaHYamagaKOnoEKatayamaI. Sweat in the pathogenesis of atopic dermatitis. Allergol Int (2018) 67(4):455–9. 10.1016/j.alit.2018.06.003
12.
SuskindRR. Eccrine function in psoriasis. J Invest Dermatol (1954) 23(5):345–55. discussion, 55-7. 10.1038/jid.1954.117
13.
ElieffDSundbySKennedyWHordinskyM. Decreased sweat-gland number and function in patients with alopecia areata. Br J Dermatol (1991) 125(2):130–5. 10.1111/j.1365-2133.1991.tb06059.x
Summary
Keywords
alopecia areata, atopic dermatitis, epidemiologic study, hyperhidrosis, psoriasis
Citation
Kosaka K, Uchiyama A, Ishikawa M and Motegi S-I (2026) The epidemiological and clinical association between primary focal hyperhidrosis and various skin disease in Japanese patients: outpatient questionnaire analysis. J. Cutan. Immunol. Allergy 9:15800. doi: 10.3389/jcia.2026.15800
Received
26 October 2025
Revised
20 January 2026
Accepted
02 February 2026
Published
23 February 2026
Volume
9 - 2026
Updates
Copyright
© 2026 Kosaka, Uchiyama, Ishikawa and Motegi.
This is an open-access article distributed under the terms of the Creative Commons Attribution License (CC BY). The use, distribution or reproduction in other forums is permitted, provided the original author(s) and the copyright owner(s) are credited and that the original publication in this journal is cited, in accordance with accepted academic practice. No use, distribution or reproduction is permitted which does not comply with these terms.
*Correspondence: Keiji Kosaka, kosaka@gunma-u.ac.jp
Disclaimer
All claims expressed in this article are solely those of the authors and do not necessarily represent those of their affiliated organizations, or those of the publisher, the editors and the reviewers. Any product that may be evaluated in this article or claim that may be made by its manufacturer is not guaranteed or endorsed by the publisher.