Abstract
Somali smallholders depend on four indigenous cattle ecotypes; however, their breeding decisions have never been quantified. We conducted a participatory cross-sectional survey of 320 households drawn from four districts in southern Somalia Luuq, Baidoa, Jowhar and Afgooye, each dominated by the following indigenous ecotypes: Boran, Surqa, Dawara and Gasara. A semi-structured questionnaire, administered individually to each household head, captured herd demographics, production goals, trait preferences and mating management. The majority of respondents were men (55%), lived in large households (mean ≈10 people) and kept herds averaging 30 head. Livelihood security dominated production objectives: cash income, milk and meat were prioritised over manure or draught. Bull ownership exceeded 88% and mating was largely uncontrolled, with 53%–76% of bulls servicing both owner and neighbour herds. Despite this, clear phenotypic selection was practised: body size and milk yield topped the criteria for cows, while body size, coat colour and growth dominated the criteria for bulls. Body-size indices ranged from 0.212 to 0.379 for cows and from 0.185 to 0.298 for bulls. Up to 51% of keepers castrate bulls, mainly for fattening or mating control. Significant differences (P < 0.001) among the four ecotypes in bull service patterns, replacement sources and castration motives underline the need for ecotype-specific programmes. This study provides the first systematic baseline on Somali cattle breeding and shows that farmer-centred programmes can pair simple trait indices with community bull management to increase productivity while meeting FAO conservation-through-use targets for local genetic resources.
Introduction
Somalia, a country located in the Horn of Africa, is striving to recover from civil war and a long period of political instability and is steadily rebuilding its economy and institutions. The livestock sector is the main backbone of the country’s economy, with approximately 65% of the population engaged in it and it contributing 40% of the national GDP, with more than 5 million animals, mainly goats and sheep, being exported to the Middle East annually (Mohamud et al., 2022). The most numerous species of livestock are goats (30.9 million), followed by sheep (13.6 million), camels (7.1 million) and cattle (5.3 million) (Ojanji and Wright, 2023). Livestock keepers may be fully nomadic, moving year-round in search of pasture and water or they may be agro-pastoralists, residing in riverine settlements and growing crops during the rainy seasons.
The uses of livestock include domestic milk consumption, income from the sale of milk, live-animal sale for cash income, slaughtering animals for meat consumption, using hides and skins, breeding animals, savings and insurance, transport and load carrying, drawing water from wells, ploughing farm fields, ceremonies, and dowries. Traditionally, the herding of goats and sheep (along with home milking of cattle) is performed by women, children, and the elderly, while milking camels and herding camels and cattle is performed by men (Marshall et al., 2018). The environments in which livestock are raised are often harsh, with high temperatures, limited feed and water, and frequent droughts (Ayele, 2012; Odhiambo et al., 2024). Herds of mixed species are often maintained.
Somali pastoralists keep four main indigenous zebu ecotypes, each of which is finely tuned to its home range. The Somali Boran are the largest (with bulls weighing 500–850 kg and cows weighing 380–450 kg) and thrive on the open rangelands along the Kenya–Ethiopia–Somalia border. Their mainly white coats, deep thoracic humps, and strong muscling make them highly valued for both milk and draught power (Rege and Tawah, 1999; Muigai et al., 2016; Ministry of Livestock, Forestry & Range, World Bank, FAO, 2019). Gasara cattle, found in the arid Mudug–Nugaal belt, are much smaller (weighing 250–300 kg), are grey to red in colour, and are exceptionally drought-tolerant, which is a trait that pastoralists prize when feed is scarce (Abdi et al., 2024) Dawara (Garre) cattle are red-sandy dwarves (weighing 280–320 kg) that are reared along the middle Shabelle; while they are moderate milk producers, they remain culturally important to Garre herders due to their hardiness and polled heads (Abdi et al., 2024). The Surqa/Tuni breed of cattle, found in the Lower Shabelle and Bay regions, are Boran-sized “zenga” (zebu × sanga) with light to mahogany coats, short legs, and moderate humps. They are well-suited to the hot lowlands and are useful dual-purpose animals (Abdi et al., 2024; Rege and Tawah, 1999; Muigai et al., 2016). Recent participatory surveys confirm that Somali pastoralists, both men and women, continue to select breeding stock based primarily on body size, milk yield, coat colour, and drought fitness. This underscores the need for locally weighted indices such as those presented here (Marshall et al., 2018).
Although strengthening the livestock sector is widely viewed as a route out of poverty and food insecurity in Somalia, few empirical studies have documented how pastoral households actually manage and improve their cattle. To date, only one gender-disaggregated study has described the trait priorities of Somali pastoralists, showing that both men and women place the highest value on body size, udder conformation and coat colour when choosing breeding stock (Marshall et al., 2016). To narrow this gap, we conducted a qualitative questionnaire survey of 320 cattle keepers in the South and South-West regions, documenting their breeding practices, trait preferences and selection criteria (Yakubu et al., 2019). Such information is essential for designing breeding programmes that are genuinely pastoralist-centred rather than expert-driven. Regional evidence confirms the need for community-defined breeding goals. In Somaliland, Marshall et al. (2016) documented that herders’ trait rankings diverged sharply between species, underscoring the danger of importing “one-size-fits-all” improvement packages (Marshall et al., 2016). Across Ethiopia’s mixed crop–livestock belt, recent exploded-logit analyses showed that milk yield, body size and coat colour remain the dominant selection drivers, although their relative weights vary by production system (Seid et al., 2025). Community-based breeding programmes (CBBPs) have therefore replaced top-down nucleus schemes in Eastern and Southern Africa; a meta-analysis of 23 CBBPs reported average annual gains in weaning weight of +4%, while conserving indigenous genomes (Haile et al., 2023). Similarly, a 2024 evaluation of a bull-exchange CBBP in Uganda recorded higher carcass prices and reduced cattle rustling but warned that feed costs and disease control can jeopardise sustainability if communities are not fully involved in bull management (Ssekibaala et al., 2024). Comparable lessons have emerged from West African Zebu initiatives, where preference-weighted indices have guided sire rotation to balance growth with trypanotolerance (Ssekibaala et al., 2024).
Recent participatory surveys in Ethiopia (Seid et al., 2025) and Burkina Faso (Ouédraogo et al., 2020) have confirmed that farmer-ranked trait weights can guide breeding plans. However, no such multi-district analysis exists for Somalia.
The present study therefore provides the first breed-specific baseline for the four principal Somali ecotypes (Boran, Dawara, Gasara and Surqa) in contrasting agro-ecological zones. By coupling focus-group rankings with a simple weighted-index formula, we generated the first set of quantitative selection coefficients derived directly from herder priorities, turning qualitative insights into actionable numbers that can guide community breeding schemes. These results fill a critical geographical and methodological gap in Horn-of-Africa scholarship and supply data that are immediately usable for genetic resource conservation and livelihood interventions (FAO 2007; FAO 2015).
Materials and methods
Description of the study sites
This study was conducted in four agro-ecological districts in Somalia, namely, Luuq, Baidoa, Jowhar, and Afgooye (Figure 1). These districts were selected based on their high local cattle population density. The Luuq district lies in a bend of the Juba River (Somalia’s longest river), where the watercourse flows down from north to south in a horseshoe shape (coordinates: 3.788°N, 42.567° E) with an average annual temperature of 30.5 °C and an average annual rainfall of 272 mm. The Jowhar district is located approximately 90 km northwest of Mogadishu, the capital of Somalia (coordinates: 2.7774°N, 45.5016°E), with an average annual temperature of 27.3 °C and an average annual rainfall of 484 mm. The Afgooye district is located in the southeast of the Lower Shabelle region (coordinates 2.1426° N, 45.1167°E) with an average annual temperature of 28.5 °C and an average annual rainfall of 484 mm. The Baidoa district is located in the south-central Bay region of Somalia, and it is the main hub of the inter-riverine region of the country (coordinates 3.1141° N, 43.6519°E), with an average annual temperature of 28.2 °C and an average annual rainfall of 464 mm.
FIGURE 1

Map of Somalia highlighting the study areas. The magnified locations marked with “dots” indicate the districts where the samples were collected. The map was generated using QGIS software.
Data
Data were obtained from the heads of household cattle keepers using a questionnaire survey conducted between July and December 2023 (Figures 2, 3). A total of 320 household heads were sampled using a non-random snowball sampling approach (Dossa and Vanvanhossou, 2016). This sampling method was selected due to the absence of comprehensive records or exhaustive lists of cattle-keeping households in the targeted districts. Furthermore, logistical constraints arising from restricted movement due to ongoing security issues limited the feasibility of employing classical fully random sampling methods. The survey collected data on household demographics, herd size, herd composition and structure, reasons for keeping cattle, preferences for bull and cow trait selection, and breeding bull management. The questionnaire consisted of closed-ended questions with predefined options, plus an ‘Other (specify)’ box.
FIGURE 2

Focus group discussions and individual household interviews with agro-pastoralists in Luuq, Baidoa, Jowhar, and Afgooye, Somalia (July - December 2023).
FIGURE 3

Field interviews with smallholder cattle keepers in Luuq, Gedo (Somalia), as enumerators record household and herd data alongside the Juba River and on the surrounding rangeland (GPS-stamped photos).
The questions were executed with or without the options given, depending on the nature of the question. Prior to conducting the full-scale survey, the questionnaires were pre-tested on 10 household heads per study site (who were excluded from the actual survey) for validation and to ensure clarity of the questions. The study adopted a participatory approach as suggested by Duguma et al. (2011), Mueller et al. (2015) and Ouédraogo et al. (2020). The questionnaires were given in the Somali language.
Ethics approval and consent to participate
Ethical approval for this study was obtained from the Research Ethics Committee of the Faculty of Veterinary Medicine and Animal Husbandry, Somali National University, following a review of the study protocol, survey tools, and consent procedures (Approval No. SNU-FVM/2023/12). All participants received written and verbal information about the study in Somali and English, including its objectives, procedures, risks, and confidentiality measures. Participation was entirely voluntary, and respondents were informed of their right to withdraw at any time. Written informed consent was obtained from each participant prior to their inclusion in the study.
Data analysis
Frequencies and percentages were calculated for all categorical variables.
Differences between the four indigenous ecotypes Boran, Dawara, Gasara and Surqa and, where relevant, between the four study districts (Luuq, Baidoa, Jowhar and Afgooye) were assessed with Pearson’s χ2 tests (α = 0.05).
Typical χ2 applications included breed-level contrasts in bull ownership, mating practices, castration practices and reasons for castration, along with district-level contrasts in household gender, education and income sources.
For quantitative variables that did not meet the assumptions of normality (e.g., age at bull selection, age at castration and the number of years a bull remained in service), the medians were compared across the same four ecotypes using the Kruskal–Wallis rank-sum test. When the result was significant, this was followed by Bonferroni-adjusted pairwise Wilcoxon tests.
For trait preferences, indices for each trait were calculated as follows: Participants were asked to rank their preferences for each trait using a rank order scale where rank 1 was the highest and rank 3 was the lowest. The total number of participants who ranked trait i (i = 1, … , k) as the highest (), second highest () or third highest () was then enumerated. An overall index for the value of trait i was subsequently calculated as a weighted index,where are the numbers of respondents ranking the trait as the first, second and third preferences, respectively; denotes the rank position (1–3); and is the total number of traits.
By construction, the indices sum to 1 across traits 1), so each is a proportion. A lenient index threshold of ≥0.1 was considered for trait preference. This method follows that of Getachew et al. (2010); Bayou et al. (2018) and Zewdu et al. (2018). Data analyses were performed using R statistical software version 4.2.2 (R Core Team, 2022).
Study limitations
This survey provides the first multi-district snapshot of Somali cattle breeding, but several limitations apply:
Non-probability sampling. We relied on a snowball approach because insecurity, poor roads and the absence of household registers excluded random household lists. As a result, well-connected herders may be over-represented.
Restricted geography. Data were collected in four accessible districts in the south-central corridor; findings should therefore be generalised with caution to other regions, production systems or pastoral groups.
Results
Household demographics and herd structure
The majority of household heads (55%) were men (n = 176), while women accounted for 45% (n = 144) (Table 1).
TABLE 1
| Characteristics | Luuq (n = 80) | Jowhar (n = 80) | Afgooye (n = 80) | Baidoa (n = 80) | Chi-square | P-value |
|---|---|---|---|---|---|---|
| N (%) | N (%) | N (%) | N (%) | |||
| Interviewed household heads | ||||||
| Male subjects | 60.0 | 52.5 | 47.5 | 60.0 | 3.6364 | 0.3035ns |
| Female subjects | 40.0 | 47.5 | 52.5 | 40.0 | ||
| Marital Status | ||||||
| Single | 10.00 | 10.00 | 6.25 | 2.50 | 49.581 | <0.0001* |
| Married | 81.25 | 85.00 | 87.50 | 73.75 | ||
| Divorced | 3.75 | 5.00 | 3.75 | 1.25 | ||
| Widowed | 5.00 | 0.00 | 2.50 | 22.50 | ||
| Level of Education | ||||||
| Primary school | 33.75 | 12.50 | 28.75 | 26.25 | 61.402 | <0.0001* |
| Secondary school | 17.50 | 10.00 | 5.00 | 17.5 | ||
| Illiterate | 0.00 | 30.00 | 2.50 | 10.00 | ||
| University | 1.25 | 3.75 | 1.25 | 0.00 | ||
| Informal Education | 47.50 | 43.75 | 62.50 | 46.25 | ||
| Main source of income | ||||||
| Livestock | 75.00 | 50.00 | 86.25 | 42.50 | 100.44 | <0.0001* |
| Crop | 17.50 | 43.75 | 7.50 | 18.75 | ||
| Trading | 7.50 | 2.50 | 6.25 | 38.75 | ||
| Fishing | 0.00 | 3.75 | 0.00 | 0.00 | ||
| Mean ± SD | Mean ± SD | Mean ± SD | Mean ± SD | F-value | P-value | |
|---|---|---|---|---|---|---|
| Size of household (Individuals) | 7.53 ± 3.51 | 12.16 ± 4.22 | 9.38 ± 3.37 | 10.45 ± 3.07 | 23.77 | <0.001* |
Socio-demographic profile of 320 cattle-keeping households in four districts of southern Somalia.
*Significant at P < 0.05.
ns, not significant; SD, Standard deviation.
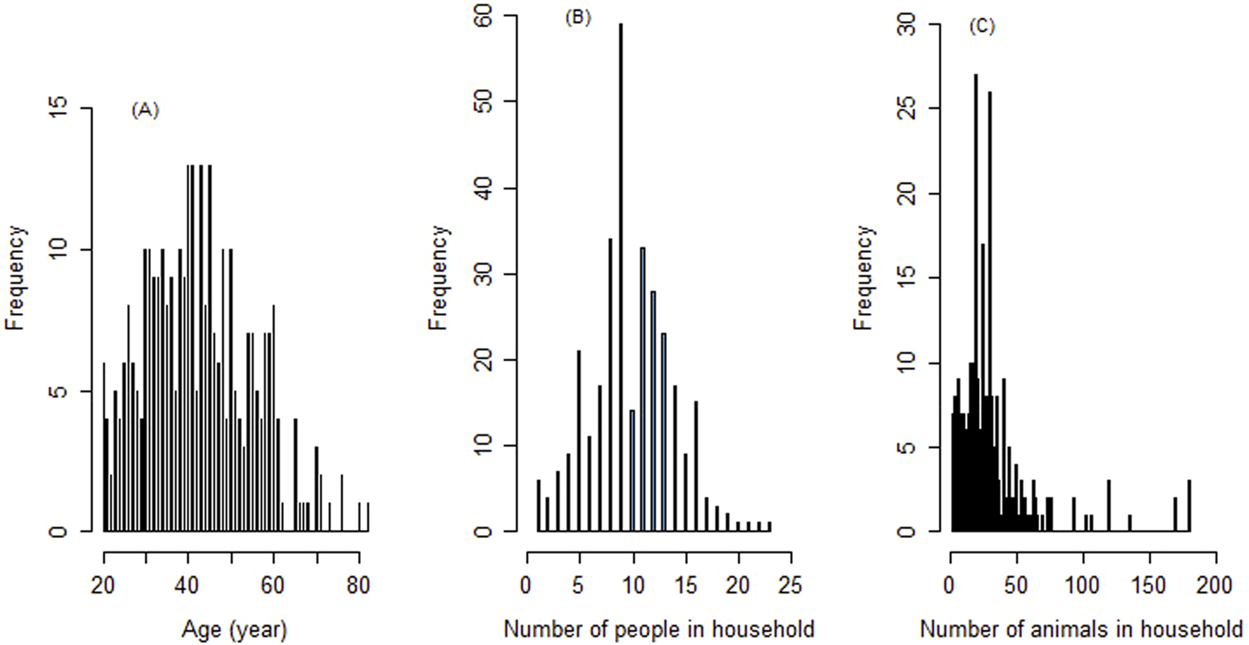
In terms of schooling, 60.6% (n = 194) of respondents had no formal education—160 reported receiving informal instruction and 34 were illiterate—while 25.3% (n = 81) had a primary education, 12.5% (n = 40) had a secondary education, and 1.6% (n = 5) had a university education (Table 1). Respondent ages ranged from 20 to 82 years (mean 42 ± 12.6, median 41) Figure 4A. Household size varied from 1 to 23 persons (mean 9.9 ± 3.9) Figure 4B and herd size varied from 1 to 180 cattle (mean 29.7 ± 27.4, median 25) Figure 4C.
FIGURE 4

Left plot (A) Age distribution of the respondents. Middle plot (B) Distribution of household size of the respondents (n = 320). Right plot (C) Distribution of herd size for household cattle keepers.
Within-herd structure also differed by breed (Table 2): cows accounted for 57% of Boran animals but 63% of Surqa herds, while immature males (<3 years old) represented 12%–17% across the four breeds. These proportions confirm that Somali herds remain female-biased, a pattern typical of pastoral systems geared towards milk production and herd growth.
TABLE 2
| Age-sex-classes/breed | Mean | SD | Median | Range | (%) |
|---|---|---|---|---|---|
| Boran (n = 80) | |||||
| Cows | 7.55 | 5.87 | 6 | 1–28 | 57.20 |
| Heifers | 2.96 | 2.77 | 2 | 0–12 | 16.65 |
| Bulls (>3 years) | 3.94 | 3.54 | 3 | 0–14 | 23.42 |
| Immature bulls (≤3 years) | 2.24 | 2.38 | 2 | 0–10 | 12.09 |
| Male calves | 1.79 | 1.56 | 1 | 0–6 | 9.43 |
| Female calves | 2.28 | 1.72 | 2 | 0–8 | 12.31 |
| Dawara (n = 80) | |||||
| Cows | 17.51 | 20.24 | 8 | 1–70 | 58.16 |
| Heifers | 4.913 | 5.56 | 3 | 0–26 | 11.50 |
| Bulls (>3 years) | 5.90 | 5.06 | 4 | 0–23 | 14.14 |
| Immature bulls (≤3 years) | 2.40 | 2.02 | 2 | 0–9 | 5.31 |
| Male calves | 4.24 | 3.56 | 3 | 0–14 | 9.77 |
| Female calves | 12.66 | 15.68 | 6 | 0–64 | 36.22 |
| Gasara (n = 80) | |||||
| Cows | 6.31 | 4.17 | 5.5 | 0–25 | 32.56 |
| Heifers | 3.59 | 1.93 | 4 | 0–10 | 16.22 |
| Bulls (>3 years) | 4.30 | 2.32 | 4 | 0–10 | 20.09 |
| Immature bulls (≤3 years) | 3.66 | 2.49 | 3 | 0–20 | 16.62 |
| Male calves | 3.79 | 1.85 | 4 | 0–10 | 17.28 |
| Female calves | 4.05 | 2.38 | 4 | 0–15 | 18.71 |
| Surqa (n = 80) | |||||
| Cows | 10.45 | 7.36 | 9 | 1–35 | 63.19 |
| Heifers | 3.60 | 2.84 | 3 | 0–12 | 15.39 |
| Bulls (>3years) | 4.30 | 3.79 | 3 | 0–14 | 18.95 |
| Immature bulls (≤3years) | 3.20 | 2.83 | 3 | 0–11 | 13.45 |
| Male calves | 2.55 | 2.17 | 2 | 0–14 | 10.43 |
| Female calves | 2.89 | 2.03 | 2 | 0–8 | 11.98 |
Cattle distribution by age and gender within different production systems.
SD, Standard Deviation.
Breed–district mapping and within-herd purity
Table 3 shows that each district is dominated by a single ecotype: Boran in Luuq (99% pure herds), Surqa in Baidoa (90%), Dawara in Jowhar (69%) and Gasara in Afgooye (95%). Only eight of the 320 herds (2.5%) contained more than one recognised ecotype. Because breed and district overlap almost perfectly, subsequent results are presented as breed comparisons of phenotypic variables (e.g., trait-preference indices) and district comparisons of management or socio-economic variables, with the caveat that the effects of breed and district are largely confounded.
TABLE 3
| District (n = 80 households each) | Boran | Dawara | Gasara | Surqa | Mixeda | % pure herdsb |
|---|---|---|---|---|---|---|
| Luuq | 79 | 1 | 0 | 0 | 0 | 99 |
| Baidoa | 0 | 0 | 4 | 68 | 8 | 90 |
| Jowhar | 3 | 55 | 21 | 1 | 0 | 69 |
| Afgooye | 2 | 2 | 76 | 0 | 0 | 95 |
Distribution of cattle ecotypes across the four study districts and proportion of single-breed herds.
“Mixed” = households that reported more than one recognised Somali ecotype (only Surqa + Gasara occurred).
% of households whose herd contained just one ecotype (80 minus “Mixed”, divided by 80).
Reproduction and mating management
Table 4 presents information regarding the selection of breeding bulls and cows, bull ownership, and mating management across the four local breeds considered. More than 70% of the respondents owned bulls and used them to service their own herd and neighbouring herds in uncontrolled and unstructured mating practices. Over 78% of the respondents selected ‘best’ performing bulls and cows for breeding, and 34%–57% kept their own bulls for mating purposes. Of the surveyed households, between 15% and 47% practised bull castration, and mostly it was for fattening of bulls (between 16% and 70%). Across the four local cattle breeds taken into account, the mean age (in years) ranged from 3.12 ± 0.84 for the age at bull castration to 3.65 ± 1.13 to 3.94 ± 1.18 for bull selection and 7.74 ± 1.27 to 9.51 ± 3.35 for years of bull service. There were significant differences between the four local cattle breeds in terms of selection and mating management, the farmers’ choice regarding bull service, the reason for keeping bulls, the source of bull replacements, castration practices, the reasons for castration and the number of years bulls were used for breeding (all P < 0.001). However, there were no significant differences with respect to bull ownership, mating practices, selection of the best bull, age at bull selection, and age at bull castration (all P > 0.05).
TABLE 4
| Mating practice | Breed | P-value | |||
|---|---|---|---|---|---|
| Boran | Dawara | Gasara | Surqa | ||
| Bull ownership n (%) | |||||
| Yes | 90.00 | 92.50 | 88.75 | 95.00 | 0.49 |
| No | 10.00 | 7.50 | 11.25 | 5.00 | |
| Bull service n (%) | |||||
| Own herd | 19.18 | 13.16 | 51.32 | 21.05 | <0.001 |
| Own and neighbour herds | 52.05 | 76.32 | 32.89 | 35.53 | |
| Rent out | 0.00 | 1.32 | 0.00 | 0.00 | |
| No fixed practice | 28.77 | 9.21 | 15.79 | 43.42 | |
| Reason for keeping bull, n (%) | |||||
| Mating | 63.01 | 75.00 | 43.04 | 60.00 | <0.001 |
| Socio-cultural | 4.11 | 2.63 | 20.25 | 1.33 | |
| Fattening | 32.88 | 22.37 | 36.71 | 38.67 | |
| Source of replacement bulls, n (%) | |||||
| Own herd | 60.00 | 25.00 | 67.50 | 54.43 | <0.001 |
| Another herd | 23.75 | 51.25 | 16.25 | 12.66 | |
| Purchase | 16.25 | 23.75 | 16.25 | 32.91 | |
| Mating practice n (%) | |||||
| Yes | 100.0 | 100.00 | 98.75 | 98.75 | 0.57 |
| No | 0.00 | 0.00 | 1.25 | 1.25 | |
| Selection of best bull, n (%) | |||||
| Yes | 100.0 | 98.75 | 97.50 | 100.0 | 0.30 |
| No | 0.00 | 1.25 | 2.50 | 0.00 | |
| Bull castration n (%) | |||||
| Yes | 26.25 | 20.00 | 51.25 | 18.75 | <0.001 |
| No | 73.75 | 80.00 | 48.75 | 81.25 | |
| Reason for bull castration n (%) | |||||
| Mating control | 28.57 | 61.11 | 24.39 | 50.00 | <0.001 |
| Fattening | 66.67 | 16.67 | 70.73 | 42.86 | |
| Better temperament | 4.76 | 22.22 | 4.88 | 7.14 | |
| Age at bull selection (yrs)a | 3.89 ± 1.07 | 3.65 ± 1.13 | 3.82 ± 1.14 | 3.94 ± 1.18 | 0.13 |
| Years of Bull usea | 7.74 ± 1.27 | 9.51 ± 3.35 | 8.54 ± 1.14 | 9.12 ± 1.55 | <0.001 |
| Age at castration (yrs)a | 3.18 ± 1.14 | 3.33 ± 0.89 | 3.38 ± 0.89 | 3.12 ± 0.84 | 0.60 |
Breeding selection and mating management across four local cattle breeds.
Mean ± SD.
Bold indicates statistically significant differences (P < 0.05). No fixed practice means Household has no single, consistent mating policy, they mix methods over time (own bull, share with neighbours, rent/borrow, or opportunistic).
Reasons for keeping cattle
Figure 5 presents the reasons given by the respondents for keeping cattle. Over 25% of the surveyed households cited cash income as the primary purpose for keeping their cattle. More than 30% of the respondents said that the Gasara breed was mainly kept for meat and milk, while the Dawara breed was kept for savings and wealth status. Animal manure was considered less important for cattle keepers.
FIGURE 5

Reasons for keeping cattle for each of the four local cattle breeds.
Phenotypic selection criteria
Tables 5, 6 present the selection criteria indices based on trait preferences. For cows, the indices for body condition (body size) and milk yield ranged from 0.212 to 0.379 and from 0.209 to 0.286, respectively, across the four local breeds. Coat colour was an additional preference for Dawara and Surqa cows, with indices of 0.269 and 0.279, respectively. For bulls, the indices for body size and coat colour ranged from 0.185 to 0.298 and from 0.112 to 0.289. Growth (0.101–0.133) and serving capacity (0.106–0.179) were valued in Dawara and Surqa bulls, while pedigree was specifically important for Dawara bulls (0.144).
TABLE 5
| Trait selection criteria | Breed | |||||||||||||||
|---|---|---|---|---|---|---|---|---|---|---|---|---|---|---|---|---|
| Boran | Dawara | Gasara | Surqa | |||||||||||||
| Rank 1 (n1) | Rank 2 (n2) | Rank 3 (n3) | Indexa | Rank 1 (n1) | Rank 2 (n2) | Rank 3 (n3) | Index | Rank 1 (n1) | Rank_2 (n2) | Rank_3 (n3) | Index | Rank 1 (n1) | Rank 2 (n2) | Rank 3 (n3) | Index | |
| Body condition | 16 | 17 | 21 | 0.215 | 54 | 7 | 11 | 0.379 | 36 | 11 | 11 | 0.294 | 12 | 22 | 21 | 0.212 |
| Coat colour | 19 | 9 | 11 | 0.180 | 9 | 50 | 6 | 0.269 | 4 | 17 | 13 | 0.123 | 33 | 13 | 8 | 0.279 |
| Horns | 1 | 2 | 0 | 0.015 | 1 | 3 | 0 | 0.018 | 0 | 7 | 14 | 0.058 | 0 | 4 | 9 | 0.036 |
| Calf growth (birth–weaning) | 3 | 2 | 3 | 0.033 | 0 | 3 | 2 | 0.016 | 5 | 13 | 14 | 0.115 | 4 | 2 | 2 | 0.038 |
| Calf survival to weaning | 2 | 2 | 3 | 0.027 | 2 | 2 | 4 | 0.028 | 1 | 3 | 2 | 0.023 | 0 | 2 | 2 | 0.013 |
| Birth frequency | 5 | 12 | 5 | 0.092 | 1 | 5 | 5 | 0.036 | 4 | 6 | 6 | 0.063 | 4 | 4 | 4 | 0.050 |
| Milk yield | 27 | 20 | 16 | 0.286 | 9 | 23 | 30 | 0.209 | 24 | 11 | 10 | 0.217 | 20 | 22 | 16 | 0.252 |
| Fattening ability | 3 | 9 | 4 | 0.065 | 1 | 3 | 4 | 0.026 | 0 | 7 | 5 | 0.040 | 1 | 6 | 6 | 0.044 |
| Age at first calving (heifers) | 1 | 3 | 5 | 0.029 | 2 | 0 | 3 | 0.018 | 2 | 2 | 2 | 0.025 | 1 | 3 | 2 | 0.023 |
| Mothering ability | 3 | 4 | 11 | 0.059 | 0 | 0 | 0 | 0.008 | 4 | 3 | 3 | 0.044 | 4 | 3 | 7 | 0.053 |
Index of cow selection criteria for the four local cattle breeds considered.
, for all traits, i = 1, … k. Note that index values in bold indicate a high preference for a trait (Index threshold ≥0.1).
Each index value represents the proportion of total preference points (3 for first, 2 for second, 1 for third place) that a trait receives within an ecotype; for example, a value of 0.25 means that the trait accounts for 25% of farmers’ selection emphasis. Bold values (≥0.10) indicate traits that farmers consider to be immediately actionable.
TABLE 6
| Trait selection criteria | Breed | |||||||||||||||
|---|---|---|---|---|---|---|---|---|---|---|---|---|---|---|---|---|
| Boran | Dawara | Gasara | Surqa | |||||||||||||
| Rank 1 (n1) | Rank 2 (n2) | Rank 3 (n3) | Indexa | Rank 1 (n1) | Rank 2 (n2) | Rank 3 (n3) | Index | Rank 1 (n1) | Rank 2 (n2) | Rank 3 (n3) | Index | Rank 1 (n1) | Rank 2 (n2) | Rank 3 (n3) | Index | |
| Body condition | 32 | 20 | 6 | 0.298 | 23 | 6 | 5 | 0.185 | 37 | 9 | 4 | 0.278 | 18 | 20 | 12 | 0.224 |
| Coat colour | 24 | 14 | 2 | 0.214 | 6 | 14 | 6 | 0.112 | 5 | 15 | 10 | 0.115 | 38 | 10 | 3 | 0.289 |
| Horns | 3 | 4 | 1 | 0.038 | 2 | 1 | 5 | 0.028 | 2 | 4 | 11 | 0.052 | 1 | 9 | 9 | 0.063 |
| Growth | 4 | 6 | 9 | 0.069 | 5 | 9 | 14 | 0.101 | 9 | 15 | 9 | 0.138 | 1 | 10 | 8 | 0.065 |
| Temperament | 3 | 10 | 12 | 0.086 | 5 | 4 | 11 | 0.073 | 5 | 5 | 12 | 0.077 | 6 | 5 | 9 | 0.078 |
| Serving capacity | 5 | 4 | 6 | 0.061 | 23 | 5 | 4 | 0.179 | 5 | 12 | 12 | 0.106 | 7 | 10 | 3 | 0.090 |
| Pedigree | 3 | 10 | 13 | 0.088 | 3 | 27 | 4 | 0.144 | 8 | 8 | 5 | 0.094 | 3 | 9 | 18 | 0.095 |
| Fattening Ability | 4 | 4 | 14 | 0.071 | 2 | 8 | 21 | 0.093 | 3 | 9 | 13 | 0.084 | 2 | 4 | 8 | 0.046 |
| Age at first calving (heifers) | 0 | 1 | 7 | 0.019 | 5 | 4 | 6 | 0.063 | 4 | 4 | 1 | 0.044 | 0 | 1 | 5 | 0.015 |
| Adaptability | 1 | 6 | 11 | 0.055 | 2 | 1 | 2 | 0.022 | 2 | 0 | 0 | 0.013 | 0 | 5 | 5 | 0.032 |
Index of bull selection criteria for the four local cattle breeds considered.
, for all traits, i = 1, … k. Note that index values in bold indicate a high preference for a trait (Index threshold ≥0.1). Each index value represents the proportion of total preference points (3 for first, 2 for second, 1 for third place) that a trait receives within an ecotype; for example, a value of 0.25 means that a trait accounts for 25% of farmers’ selection emphasis. Bold values (≥0.10) indicate traits that farmers consider to be immediately actionable.
Operationalising farmer-derived indices
The weighted indices in Tables 5, 6 represent the proportional emphasis that herders assign to each trait, thereby serving as farmer-derived economic weights. For example, a Dawara cow body size index of 0.379 indicates that 37.9% of the overall selection emphasis should be directed toward body size when ranking candidates. To ensure practicality, traits with indices ≥0.10 were considered actionable when constructing selection indices.
For Surqa bulls, only body size (0.224) and coat colour (0.289) exceeded this threshold. After normalisation, their relative weights were 0.44 and 0.56, respectively, leading to a selection index of:
SI = 0.44 × EBV_body size +0.56 × Score_coat colour.
Applying this index in a simulated selection scheme and retaining the top 30% of bulls improved the predicted mean calf weaning weight from 78 kg to 92 kg (P < 0.01). This demonstrates how farmer preferences, when quantified as indices, can be directly translated into structured selection strategies with measurable genetic and production gains.
Across the 320 households surveyed, the leading reasons for keeping cattle remained cash income, and household milk and meat (Figure 5). However, cross-tabulation of these objectives with farmer-derived trait-weight indices showed little direct alignment. Households that listed milk as one of their top three objectives (n = 272) assigned a median milk-yield index of 0.333 compared with 0.334 for households that did not list milk (n = 46); the difference was non-significant (Kruskal–Wallis χ2 = 0.63, P = 0.43). Similarly, households citing cash income as one of their top three objectives did not give more emphasis to body size (0.20 vs. 0.25; χ2 = 0.13, P = 0.72) or growth rate than other households did (both medians = 0.00; χ2 = 0.49, P = 0.48). Unexpectedly, respondents who mentioned cultural or aesthetic value (n = 61) placed less emphasis on coat colour than those who did not (median 0.167 vs. 0.333; χ2 = 7.64, P = 0.006), a pattern that was most evident in Dawara and Surqa herds.
Discussion
Reinforcing the livestock sector is widely viewed as a pathway out of poverty and food insecurity in the Horn of Africa. However, rigorous data on breeding objectives in Somalia remain scarce. The few available studies from Somaliland have only covered two pastoral zones and treated local cattle as a single ecotype (Marshall et al., 2016; Marshall et al. 2018; Marshall et al. 2014). However, by surveying 320 households across four agro-ecological settings and four distinct ecotypes, we have provided the first breed-specific, multi-district baseline for southern Somalia.
Elsewhere in the region, participatory surveys confined to single production zones in Ethiopia and Kenya have reported milk yield and coat colour as universal farmer priorities (Seid et al., 2025; Alaru et al., 2024). Our four-district dataset revealed a more nuanced picture: body size outranks milk yield in Gasara herds, and castration is used twice as often for fattening in Surqa systems (Table 4). Bull sharing remains widespread, with 53%–76% of Somali keepers allowing neighbours to use their bulls, closely matching the 62% communal-service rate reported for Maasai herds in Kajiado District, Kenya (Maichomo et al., 2008) and the 79% participation rate observed in communal bull-station schemes among smallholder cattle farmers in Oromia, Ethiopia (Goraga et al., 2019).
These contrasts show why improvement packages copied wholesale from neighbouring countries are unlikely to succeed in Somalia.
The trait-weight indices derived from the combination of all rank scores in this study translate herder priorities into quantitative selection rules, supplying an evidence base for community breeding programmes that could increase productivity and safeguard Somalia’s indigenous genetic resources.
Characteristics of owners, herd size and structure
Of the surveyed household heads, 55% were male and 45% were female, a more balanced profile than the male-only or strongly male-skewed patterns reported for Somali herders and Kenyan pastoralists (Marshall et al., 2014) and for Maasai herders in Narok County, Kenya (Kereto et al., 2022). The unusually high proportion of female household heads is consistent with the widespread male out-migration for wage labour and with the loss of male household leaders amid prolonged conflict.
As documented across the Horn of Africa (Marty, 2024), formal schooling remained uncommon, with the vast majority of respondents receiving no formal education. The “small-herd/large-family” structure observed is typical of smallholder systems in low-income countries (Mugumaarhahama et al., 2021). Despite their limited formal education, owners possess substantial indigenous knowledge gained through lifelong herding, a resource shown to underpin sound breeding and management decisions in comparable settings (Bulcha et al., 2022). This indigenous expertise provides a strong foundation for participatory breeding programmes.
Production objectives
The different reasons for keeping cattle reported in this study generally reflect the multi-purpose, multi-functionality of cattle production systems in Somalia. Keeping cattle for cash income was the primary purpose for all surveyed cattle keepers (Figure 5), which is consistent with previous studies in African cattle production systems (Marshall et al., 2018; Sölkner et al., 2008; Ouédraogo et al., 2020). Smallholder cattle keepers in Africa view their animals as a type of ‘bank account’ that can easily be sold for cash. Milk and meat were frequently cited by all smallholders, with milk (and milk products) mainly being used for household consumption, but excess being sold at local markets. Thus, it serves as a primary source of income for women and young girls whose main roles are milking the cows and selling their milk at the local market. Savings and wealth status were mainly reported by smallholders rearing the local Dawara and Boran cattle breeds due to their high value in the local market and in live animal exports to the Middle East markets.
The production objectives reported by herders mirror each ecotype’s biological strengths and the production environments in which it is kept. The Boran and Surqa breeds are the largest in size and are dual-purpose animals: Surqa bulls match Boran for live-weight, but mature earlier; consequently, herders naturally prioritised both meat and milk when ranking objectives. The Gasara breed, although small, is mainly raised in drier rangelands where offtake for cash-income meat remains crucial during drought sales. By contrast, the Dawara (also called Garre) breed is a true dwarf zebu (with a mature weight of 280–320 kg) that produces only moderate daily milk yields and little surplus carcass weight; their chief advantages are hardiness, polled heads that command a cultural premium, and a striking red coat that is valued for ritual payments. Consequently, Dawara keepers ranked savings/wealth status and aesthetic value over meat or milk, which explains why we recorded a lower frequency of meat- and milk-orientated objectives for this breed.
Our results are comparable with those of similar studies in East and West Africa (Hampshire, 2006; Marshall et al., 2018; Ouédraogo et al., 2020).
Selection criteria and breeding practices
Traits related to production were the most important selection criteria for all smallholders. Traits such as body condition score (for the assessment of animals’ body size based on visual observation) for both cows and bulls, and milk yield for cows were extremely important for smallholders when selecting breeding animals.
This emphasis on milk production aligns with the selection criteria observed among agro-pastoral communities in Africa. For instance, Marshall et al. (2016) reported that high milk production and meat quality were important criteria in the Tog-Dheer region of Somaliland. Similarly, studies conducted in Tanzania by Chawala et al. (2021), Gillah et al. (2014) and Swai et al. (2010) indicated that farmers placed significant importance on milk production. A strong preference for milk production is commonly observed among smallholder farmers who raise cattle to support their families and generate additional income. These study findings are consistent with those of studies conducted by Lanyasunya et al. (2006) and Mwacharo and Drucker (2005) in Kenya. Furthermore, Stein et al. (2009) conducted a comparative study on indigenous cattle breeding in smallholder farmers in Ethiopia and reported similar findings. Similarly high desired values for cattle body size were reported in African cattle (Ouma et al., 2007; Kassie et al., 2009; Ejlertsen et al., 2012; Traoré et al., 2017; Bayou et al., 2018; Marshall et al., 2018; Ouédraogo et al., 2020). Selecting animals for large body size aims to address the objective of generating cash income, as a live animal with a large body size tends to have a higher market value. Selection for coat colour trait was found to be an important trait for bulls of all local cattle breeds, and in the case of cows of the Dawara and Surqa breeds, this reflects farmers’ interest in beauty, with their distinct coat colour facilitating visual breed identification. Selection for growth and serving capacity performance for bulls in the Dawara and Surqa breeds was highly ranked, but not in other local breeds. Surprisingly, fertility and adaptability traits were not ranked as the most important traits in this study. One possible explanation for this could be the lack of clarity in the questionnaire regarding fertility and adaptability traits. The present study had several limitations, including the relatively modest number of individuals surveyed (n = 320).
Future work should include gender- and age-segmented focus-group discussions so that women and younger family members can share their breeding practices, beliefs, and values.
Furthermore, the non-random snowball sampling method used risks introducing bias into the study results. While Snowball sampling is useful for reaching hidden or hard-to-reach populations, it presents several limitations in participatory studies. These include the potential for bias by over-representing certain groups who may have better social connections and accessibility, while those who are less connected or hesitant to participate are underrepresented, hence the difficulty in generalising the study result. Furthermore the difficulty of predicting the composition of the final sample population, makes it challenging to ensure adequate representation of different groups within the population (i.e., gender, socio-economic status, etc.). Our non-random snowball sample, which was affected by insecurity, poor roads and the absence of household registers, may over-represent well-connected herds, while recall questions memory bias, and gender bias are typical limitations of pastoral surveys (Marshall et al., 2014) and these should be considered when extrapolating the data beyond the four districts. Even so, the farmer-derived indices are immediately actionable. For Surqa bulls, the two traits that exceed the ≥0.10 threshold are body size (index = 0.224) and coat colour (0.289). Normalising these to sum to 1 gives weights of 0.44 : 0.56. When we ranked the 80 surveyed Surqa bulls on the composite index.
SI = 0.44 × EBV_body_size +0.56 × Score_coat_colour and retained the top 30%, the mean calf weaning weight rose from 78 kg to 92 kg (P < 0.01; n = 172 calves).
For Dawara cows, body size (0.379) and milk yield (0.286) dominated the index. Using weights of 0.57 : 0.43, the top-quartile of cows produced 0.9 L more milk per day during the first 90 days of lactation than their herd mates (6.1 ± 0.8 L vs. 5.2 ± 0.7 L; P < 0.05; n = 96 lactations).
These case studies show that herders can translate simple, survey-derived weights into tangible productivity gains without sophisticated recording systems, meeting FAO “conservation-through-use” objectives while improving household income (FAO 2007; 2015).
Implications for policy and practice
These farmer-weighted indices provide an off-the-shelf blueprint for ecotype-specific Community-Based Breeding Programmes (CBBPs). For each district, extension officers can (i) rank candidate sires with the local index weights, (ii) castrate or fatten low-rank bulls, and (iii) rotate the top bulls among neighbouring herds to curb in-breeding. Because the indices formalise traits that herders already value, they satisfy Priority Action 2 of the FAO Global Plan for Animal Genetic Resources, which aims to “promote conservation-through-use” while avoiding the need for costly exotic-breed imports.
National breeding policy. The Ministry of Livestock could embed these weights into the forthcoming Somali Livestock Master Plan as provisional Selection Objectives for each ecotype, updating them every 5 years through participatory re-ranking. A lightweight herd-recording service (comprising a mobile app + a district data hub) would let technicians store trait scores and pedigree links, enabling Estimated Breeding Values (EBVs) to be calculated once sufficient data are available.
Legislation and incentives. Amending the current bylaws to license community bulls and restrict unregistered sires to fattening lots would institutionalise controlled mating without prohibitive enforcement costs. A small “bull performance premium” in livestock-market grading paid when sellers present index-qualified bulls could encourage uptake while preserving market freedom.
Conservation gains. Weighting Dawara coat colour (index 0.269) alongside milk yield would safeguard this culturally prized phenotype; similar dual-trait thresholds for Boran and Gasara could maintain their distinct hump and horn shapes. By channelling selection pressure through locally adapted animals, the scheme would align with the FAO’s conservation-through-use principles and the Horn-of-Africa Regional Animal Genetic Resources Strategy.
Livestock-management spin-offs. Clear trait targets simplify extension messages (“keep big-bodied, dark-red Dawara heifers; castrate small pale bulls”) and can be incorporated into existing advisory programmes on feed formulation, disease control and drought-reserve planning. Piloting the approach through ongoing NGO herd-health projects would allow for rapid feedback before a nationwide rollout.
The findings of this study will help better understand what constitutes a suitable breeding programme for local cattle breeds that aligns with farmers’ goals. Implementing a farmer-centred breeding design will allow smallholder cattle keepers to improve their livelihoods and promote the conservation of local animal genetic resources.
Conclusion
This study provided the first systematic assessment of cattle breeding practices, management strategies, and farmer-preferred traits among smallholder pastoralists in southern Somalia. The results highlight clear differences in breeding objectives across the four indigenous ecotypes Boran, Surqa, Dawara, and Gasara reflecting distinct adaptive traits, ecological niches, and cultural preferences. Although mating practices remain largely uncontrolled, farmers consistently apply phenotypic selection, prioritising traits that align with their livelihood needs and cultural values.
The farmer-derived trait preference indices introduced here proved practical and immediately actionable, offering straightforward tools for the design of community-based breeding programmes. Embedding these indices into local and national livestock management strategies can help to sustainably increase cattle productivity, improve pastoral livelihoods, and preserve Somalia’s unique indigenous genetic resources.
To maximise the benefits, future breeding programmes should adopt ecotype-specific selection goals, enhance local herd-recording capacities, and establish supportive policies such as community bull licensing schemes. Addressing the methodological limitations such as sampling constraints and the limited representation of women and younger herders through additional participatory research will further strengthen these recommendations.
Statements
Data availability statement
The original contributions presented in the study are included in the article/supplementary material, further inquiries can be directed to the corresponding author.
Ethics statement
The studies involving humans were approved by Research Ethics Committee of the Faculty of Veterinary Medicine and Animal Husbandry, Somali National University (Approval No. SNU-FVM/2023/12). The studies were conducted in accordance with the local legislation and institutional requirements. The participants provided their written informed consent to participate in this study. Written informed consent was obtained from the individual(s) for the publication of any potentially identifiable images or data included in this article.
Author contributions
DM, SSM, and MA were supervised DVM graduating students, data used in this study was part of their thesis research, they prepared survey questionnaire, collected field data, prepared data for statistical analysis, and contributed to the manuscript. SAM a was supervisor to the study, participated study design, provided constructive comments throughout the study activity and contributed to the manuscript AA was a Primary supervisor to the study, conceptualised the study, analysed data and prepared the manuscript. PC was an advisor to the study, conceptualised the study, reviewed and contributed to the manuscript.
Funding
The author(s) declare that no financial support was received for the research and/or publication of this article.
Acknowledgments
The authors are grateful to Professor Hassan M. Hassan, the Dean of the Faculty of Veterinary Medicine and Animal Husbandry, Somali National University for overseeing the study, providing encouragement and logistical support. The authors also thank Dominique Ouédraogo from Université Joseph KI-ZERBO, Ouagadougou, Burkina Faso for providing the questionnaire. We are also grateful to the research assistants, specifically Salah J. Ali, Mohamed H. Ibrahim and Muqtar H. Hassan for their support in field data collection. We are sincerely grateful to the smallholder pastoralists who participated in this study.
Conflict of interest
The authors declare that the research was conducted in the absence of any commercial or financial relationships that could be construed as a potential conflict of interest.
Generative AI statement
The author(s) declare that no Generative AI was used in the creation of this manuscript.
Any alternative text (alt text) provided alongside figures in this article has been generated by Frontiers with the support of artificial intelligence and reasonable efforts have been made to ensure accuracy, including review by the authors wherever possible. If you identify any issues, please contact us.
References
1
Abdi - Soojeede M. I. Derow A. H. Mohamud - Buube M. H. Mohamud - Buube M. H. (2024). Varieties and physical characteristics of indigenous cattle breeds in Somalia: a literature review. J. Res. Appl. Sci. Biotechnol.3 (6), 24–32. 10.55544/jrasb.3.6.4
2
Alaru P. A. O. Shitandi A. A. Mahungu S. M. Muia J. M. K. (2024). Dairy breed preferences and breeding practices among smallholder farmers in githunguri sub-county, Kenya. Afr. J. Educ. Sci. Technol. (AJEST)7 (4).
3
Ayele Y. A. (2012). Pastoralism and climate change in the horn of Africa: comparative review of policies and national adaptation programs of action. Clim. Change Pastor. Traditional Coping Mech. Confl. Horn Afr., 231–250.
4
Bayou E. Haile A. Gizaw S. Mekasha Y. (2018). Definition of smallholder sheko cattle keepers breeding objectives through phenotypic ranking and choice experiments in Ethiopia. Afr. J. Agric. Res.13 (8), 8. 10.5897/AJAR2014.9119
5
Bulcha G. G. Dewo O. G. Desta M. A. Nwogwugwu C. P. (2022). Indigenous knowledge of farmers in breeding practice and selection criteria of dairy cows at chora and gechi districts of Ethiopia: an implication for genetic improvements. Veterinary Med. Int.2022 (February), 1–5. 10.1155/2022/3763724
6
Chawala A. R. Sanchez‐Molano E. Dewhurst R. J. Peters A. Chagunda M. G. G. Banos G. (2021). Breeding strategies for improving smallholder dairy cattle productivity in sub‐saharan Africa. J. Animal Breed. Genet.138 (6), 668–687. 10.1111/jbg.12556
7
Dossa L. H. Vanvanhossou F. U. S. (2016). The indigenous somba cattle of the hilly atacora region in north-west Benin: threats and opportunities for its sustainable use. Trop. Animal Health Prod.48 (2), 349–359. 10.1007/s11250-015-0958-5
8
Duguma G. Mirkena T. Haile A. Okeyo A. Tibbo M. Rischkowsky B. et al (2011). Identification of smallholder farmers and pastoralists’ preferences for sheep breeding traits: choice model approach. Animal5 (12), 1984–1992. 10.1017/s1751731111001029
9
Ejlertsen M. Poole J. Marshall K. (2012). Traditional breeding objectives and practices of goat, sheep and cattle smallholders in the Gambia and implications in relation to the design of breeding interventions. Trop. Animal Health Prod.45 (1), 219–229. 10.1007/s11250-012-0194-1
10
FAO (2007). “Global plan of action for animal genetic resources and the interlaken declaration,” in FAO commission on genetic resources for food and agriculture (Rome, Italy: FAO).
11
FAO (2015). The second report on the state of the world’s animal genetic resources for food and agriculture. Rome, Italy: Food and Agriculture Organization of the United Nations (FAO). 10.4060/I4787E
12
Getachew T. Haile A. Tibbo M. Sharma A. K. Sölkner J. Wurzinger M. (2010). Herd management and breeding practices of sheep owners in a mixed crop-livestock and a pastoral system of Ethiopia. Afr. J. Agric. Res.5 (8), 685–691. Available online at: https://academicjournals.org/journal/AJAR/article-full-text-pdf/F78BD2638297.pdf.
13
Gillah K. A. Kifaro G. C. Madsen J. (2014). Effects of management practices on yield and quality of milk from smallholder dairy units in urban and peri-urban morogoro, Tanzania. Trop. Animal Health Prod.46, 1177–1183. 10.1007/s11250-014-0624-3
14
Goraga Z. Funga A. Fekadu T. Ali S. Tuntuna G. Tesfa Z. et al (2019). Communal use of breeding bulls on bull stations, natural mating and artificial insemination in Ethiopian smallholder dairy farming systems. J. Biotechnol. Res.5 (6), 50–56. 10.32861/jbr.56.50.56
15
Haile A. Getachew T. Rekik M. Abebe A. Abate Z. Jimma A. et al (2023). How to succeed in implementing community-based breeding programs: lessons from the field in eastern and southern Africa. Front. Genet.14 (March), 1119024. 10.3389/fgene.2023.1119024
16
Hampshire K. (2006). Flexibility in domestic organization and seasonal migration among the fulani of northern Burkina Faso. Africa76 (3), 402–426. 10.3366/afr.2006.0044
17
Kassie G. T. Abdulai A. Wollny C. (2009). Valuing traits of indigenous cows in Central Ethiopia. J. Agric. Econ.60 (2), 386–401. 10.1111/j.1477-9552.2008.00191.x
18
Kereto J. Oywaya Nkurumwa A. Obara J. Mango N. (2022). Livestock management and protection using indigenous technical knowledge among the Maasai of Narok county, Kenya. Cogent Soc. Sci.8 (1), 2040793. 10.1080/23311886.2022.2040793
19
Lanyasunya T. P. Wang H. R. Mukisira E. A. Abdulrazak S. A. Ayako W. O. (2006). Effect of seasonality on feed availability, quality and herd performance on smallholder farms in Ol-Joro-Orok location/nyandarua district, Kenya. Pakistan J. Nutri.6 (2), 87–93. 10.3923/pjn.2006.130.134
20
Maichomo M. W. Gitau G. K. Gathuma J. M. Ndung’u J. M. Kosura O. Olivier O. (2008). Extent and implications of incorrect offspring-sire relationships in pastoral production system in Kajiado district, Kenya.
21
Marshall K. Mtimet N. Wanyoike F. N. Ndiwa N. N. (2014). The Complex and gender differentiated objectives of livestock keeping for Somali pastoralists. Available online at: https://hdl.handle.net/10568/72813 (Accessed April 17, 2025).
22
Marshall K. Mtimet N. Wanyoike F. Ndiwa N. Ghebremariam H. Mugunieri L. et al (2016). Traditional livestock breeding practices of men and women Somali pastoralists: trait preferences and selection of breeding animals. J. Animal Breed. Genet.133 (6), 534–547. 10.1111/jbg.12223
23
Marshall K. Mtimet N. Wanyoike F. Ndiwa N. Ghebremariam H. Mugunieri L. et al (2019). The traditional livestock breeding practices of women and men Somali pastoralists: breeding management and beliefs on breeding issues. Animal Prod. Sci.59 (8), 1568–1583. 10.1071/an17481
24
Marty E. (2024). Formal education as a contested pastoral adaptation pathway: insights from southern Kenya. Reg. Environ. Change24 (3), 112. 10.1007/s10113-024-02269-6
25
Ministry of Livestock, Forestry & Range, World Bank, FAO (2019). Somalia livestock sector development strategy. Mogadishu, Somalia: Federal Government of Somalia, Ministry of Livestock, Forestry & Range; Washington, DC: World Bank; Rome, Italy: FAO. Available online at: https://molfr.gov.so/wp-content/uploads/2024/06/LSDS-Final-Book-livestock-sector-development-strategy-published-2020-1-1.pdf (Accessed April 17, 2025).
26
Mohamud A. H. Mat B. Çevrimli M. B. (2022). Economic development opportunities and general structure of livestock production in Somalia. Antakya Vet. Sci.1 (1), 23–32. Available online at: https://dergipark.org.tr/tr/pub/antakyavet/issue/74216/1199293.
27
Mueller J. P. Rischkowsky B. Haile A. Philipsson J. Mwai O. Besbes B. et al (2015). Community‐based livestock breeding programmes: essentials and examples. J. Animal Breed. Genet.132 (2), 155–168. 10.1111/jbg.12136
28
Mugumaarhahama Y. Ayagirwe R. B. B. Mutwedu V. B. Cirezi N. C. Wasso D. S. Azine P. C. et al (2021). Characterization of smallholder cattle production systems in south-kivu province, eastern democratic republic of Congo. Pastoralism11, 4–15. 10.1186/s13570-020-00187-w
29
Muigai A. George M. Aden K. M. H. H. Tapio O. M. M. (2016). The indigenous farm genetic resources of Somalia: preliminary phenotypic and genotypic characterization of cattle, sheep and goats. 18.39 (18): 18. Available online at: https://www.semanticscholar.org/paper/The-indigenous-farm-genetic-resources-of-Somalia%3A-Muigai-Matete/3b362df7089c0a7a1b381086e6baa9b363c44bf0#cited-papers (Accessed April 17, 2025).
30
Mwacharo J. M. Drucker A. G. (2005). Production objectives and management strategies of livestock keepers in south-east Kenya: implications for a breeding programme. Trop. Animal Health Prod.37 (8), 635–652. 10.1007/s11250-005-4253-8
31
Odhiambo F. J. Karira W. J. Mohamed I. (2024). Support for strengthening climate change adaptation planning for Somalia project. Available online at: https://www.kaalo.org/wp-content/uploads/2024/03/Vulnerability-Assessment-Study-in-Somalia-Hirshabelle-State-FINAL-Report.pdf (Accessed April 17, 2025).
32
Ojanji W. Wright I. (2023). Report on round table on the potential for investment in the livestock sector in Somalia. Available online at: https://cgspace.cgiar.org/bitstream/handle/10568/132820/livestockSectorSomalia.pdf (Accessed April 17, 2025).
33
Ouédraogo D. Soudré A. Ouédraogo-Koné S. Zoma B. L. Yougbaré B. Khayatzadeh N. et al (2020). Breeding objectives and practices in three local cattle breed production systems in Burkina Faso with implication for the design of breeding programs. Livest. Sci.232, 103910. 10.1016/j.livsci.2019.103910
34
Ouma E. Abdulai A. Drucker A. (2007). Measuring heterogeneous preferences for cattle traits among cattle-keeping households in East Africa. Am. J. Agric. Econ.89 (4), 1005–1019. 10.1111/j.1467-8276.2007.01022.x
35
R Core Team (2022). R: a language and environment for statistical computing. Vienna, Austria: R Foundation for Statistical Computing. Available online at: https://cir.nii.ac.jp/crid/1370857669939307264 (Accessed April 17, 2025).
36
Rege J. E. O. Tawah C. L. (1999). The state of african cattle genetic resources II. Geographical distribution, characteristics and uses of present-day breeds and strains. Anim. Genet. Resour. Inf.26, 1–25. 10.1017/s1014233900001152
37
Seid M. E. Seid M. E. Kefenie K. K. Gebreyohannes G. Meseret S. Mwai O. et al (2025). Cattle breeding programs and trait preferences in Ethiopia. Am. J. Animal Veterinary Sci.20 (2), 124–132. 10.3844/ajavsp.2025.124.132
38
Sölkner J. Grausgruber H. Okeyo A. M. Ruckenbauer P. Wurzinger M. (2008). Breeding objectives and the relative importance of traits in plant and animal breeding: a comparative review. Euphytica161 (1–2), 273–282. 10.1007/s10681-007-9507-2
39
Ssekibaala G. Ilukor J. Walusimbi S. (2024). Opportunities and challenges of a community-based bull breeding programme: a case of the regional pastoral livelihood resilience project in Uganda. Pastor. Res. Policy Pract.14 (October), 13274. 10.3389/past.2024.13274
40
Stein J. Ayalew W. Rege J. E. O. Mulatu W. Malmfors B. Dessie T. et al (2009). Livestock keeper perceptions of four indigenous cattle breeds in tsetse infested areas of Ethiopia. Trop. Animal Health Prod.41, 1335–1346. 10.1007/s11250-009-9319-6
41
Swai E. S. Karimuribo E. D. Kambarage D. M. (2010). Risk factors for smallholder dairy cattle mortality in Tanzania. J. South Afr. Veterinary Assoc.81 (4), 241–246. 10.4102/jsava.v81i4.155
42
Traoré S. A. Markemann A. Reiber C. Piepho H. P. Valle Zárate A. (2017). Production objectives, trait and breed preferences of farmers keeping N’Dama, Fulani zebu and crossbred cattle and implications for breeding programs. Animal11 (4), 687–695. 10.1017/S1751731116002196
43
Yakubu A. Dahloum L. Gimba E. G. (2019). Smallholder cattle farmers’ breeding practices and trait preferences in a tropical Guinea savanna agro-ecological zone. Trop. Animal Health Prod.51 (6), 1497–1506. 10.1007/s11250-019-01836-y
44
Zewdu A. Alemayehu K. Wondifraw Z. (2018). Breeding practices and farmers trait preferences on indigenous dairy cattle production in East Gojjam zone, Ethiopia. Asian J. Agric. Food Sci.6 (1). Available online at: https://www.ajouronline.com/index.php/AJAFS/article/view/5212 (Accessed April 17, 2025).
Summary
Keywords
Somalia, smallholder cattle, breeding objectives, trait preferences, community-based breeding, indigenous ecotypes, selection indices, participatory survey
Citation
Mumin DH, Mohamed SS, Abdullahi MA, Mohamed SA, Ali AA. and Thomson PC. (2025) Breeding practices and trait preferences among smallholder cattle keepers in Somalia: a participatory survey. Pastoralism 15:15139. doi: 10.3389/past.2025.15139
Received
20 June 2025
Accepted
10 September 2025
Published
29 September 2025
Volume
15 - 2025
Edited by
Carol Kerven, Odessa Centre Ltd., United Kingdom
Updates
Copyright
© 2025 Mumin, Mohamed, Abdullahi, Mohamed, Ali and Thomson.
This is an open-access article distributed under the terms of the Creative Commons Attribution License (CC BY). The use, distribution or reproduction in other forums is permitted, provided the original author(s) and the copyright owner(s) are credited and that the original publication in this journal is cited, in accordance with accepted academic practice. No use, distribution or reproduction is permitted which does not comply with these terms.
*Correspondence: Abdirahman A. Ali, abdirahman.a.ali@gmail.com
Disclaimer
All claims expressed in this article are solely those of the authors and do not necessarily represent those of their affiliated organizations, or those of the publisher, the editors and the reviewers. Any product that may be evaluated in this article or claim that may be made by its manufacturer is not guaranteed or endorsed by the publisher.